量身定制
拒絕模板 定制風格

量身定制
拒絕模板 定制風格

軟裝搭配
細節搭配決定細節

“0增項”
您不增項 絕不加價

環保承諾
材料E0 環保檢測

一站式省心
消防空調軟轉全搞定
6.1 一般規定
6.1.1 本條規定了保障勞動和環境衛生條件的綜合預防和治理措施。
某些工業企業在生產過程中放散大量熱、蒸汽、煙塵、粉塵及有害氣體等,如果不采取治理措施,不但直接危害操作人員的身體健康,影響職工隊伍的穩定和企業經濟效益的提高,還會污染工廠周圍的自然環境,對農作物和水域造成污染,影響城鄉居民的健康。因此對于工業企業放散的有害物質,必須采取源頭控制、過程控制、排放控制等綜合有效的預防,治理和控制措施。經驗證明,對工業企業有害物質的治理和控制必須以預防為主。應強調在總體規劃中,從工藝著手,使之不產生或少產生有害物質,然后再采取綜合的治理措施,才能收到較好的效果。因此條文中規定工藝、建筑和通風等相關專業應密切配合,采取有效的綜合預防和治理措施。
6.1.2 本條規定了對有害物的控制及工藝改革的要求。
很多行業都制定了相應的清潔生產標準,清潔生產的概念是:不斷采取改進設計、使用清潔的能源和原料、采用先進的工藝技術與設備、改善管理、提高綜合利用率等措施,從源頭消減污染,提高資源利用效率,減少或者避免生產、服務和產品使用過程中污染物的產生和排放,以減輕或者消除對人類健康和環境的危害。清潔生產要求中涉及廢氣污染的預防與治理部分,當中有一大部分內容應由通風工程師負責,因此在本規范中引入清潔生產的概念,用清潔生產的理念指導本規范通風一章的編制。
對于放散有害物質的生產過程和設備,應采用機械化、自動化、密閉、隔離和在負壓下操作的措施,避免直接操作,以改善工作人員的工作條件。如精密鑄造的蠟模涂料、撒砂自動線、電纜工件成批生產自動流水線、油漆工件的電泳涂漆自動流水線等,都以自動化代替了人工操作,改善了勞動條件。工業發達國家生產自動化程度高,采用遙控、電視監視以及用機器人等先進手段代替人工操作生產,如振動落砂機現場無人,從而降低了人員活動區的防塵要求。這些先進手段可供借鑒。
對生產過程中不可避免放散的有害物質,在排放前必須予以凈化,以滿足現行國家標準《大氣污染物綜合排放標準》GB 16297等相關大氣污染物排放標準的要求。大氣排放除執行污染物最高排放濃度標準外,還需滿足污染物總量控制的要求。為了滿足污染物總量控制的要求,某些工程項目確定的最高允許排放濃度比國家標準還要低很多。
6.1.3 關于濕式作業以及防止二次揚塵的規定。
對于產生粉塵的生產過程,當工藝條件允許時,采用濕式作業是經濟和有效的防塵措施之一。如在物料破碎或粉碎前噴水、粉碎后潤水,鑄件清理前在水中浸泡、耐火材料車間和鑄造車間地面灑水等,都可以減少粉塵的產生并防止揚塵。采用定向或不定向的風扇噴霧,可使懸浮于空氣中的粉塵沉降,從而減少空氣中的含塵濃度。
對除塵設備捕集的粉塵,應采用如螺旋輸送機、刮板運輸機、真空輸送、水力輸送等不揚塵的運輸工具輸送。
對放散粉塵的車間,為了消除地面、墻壁和設備等的二次揚塵,采用濕法沖洗是一項行之有效的措施。多年以來一些選礦廠、燒結廠、耐火材料廠均將濕法沖洗列為經常性的重要防塵措施之一,收到了良好的效果。
當工藝不允許濕法沖洗,且車間防塵要求嚴格時,可以采用真空吸塵裝置。如有色冶煉的有毒粉塵用水沖洗會造成污染轉移;電石車間以及其他遇水容易發生爆炸的場合,均宜采用真空吸塵裝置。真空吸塵裝置主要有集中固定和可移動整體機組等兩種形式,其中集中固定式適用于大面積清除大量積塵的場合。近年來,國內外發展了多種形式和用途的真空清掃機,其中真空度較高的機組可用于真空吸塵。
6.1.4 本條規定了熱源的布置原則及隔熱措施。
熱源包括:散熱設備、熱物料等。進行工藝布置時,將散熱量大的熱源盡可能遠離工作人員操作地點或布置在室外,是隔熱降溫的有效措施。如將鍛壓車間的鋼錠鋼坯加熱爐設在邊跨或坡屋內,水壓機車間高壓泵房的乳化液冷卻罐設在室外,鑄造車間的澆注流水線的冷卻走廊盡可能設在室外等。
為了改善勞動條件,除對工藝散熱設備本身采取絕緣隔熱措施外,還可以采用隔熱水箱、隔熱水幕、隔熱屏等措施或采用遠距離控制或計算機控制,使工作人員遠離熱源操作。
對于排除的余熱,有條件的情況下可考慮余熱回收利用。
6.1.5 本條是關于廠房方位的規定。
確定建筑物方位時,應與建筑、工藝等專業配合,使建筑盡量避免或減少東西向的日曬。以自然通風為主的廠房,在方位選擇時,除考慮避免西向外,還應根據廠房的主要進風面和建筑物的形式,按夏季最多風向布置,即將主要的進風面,置于夏季最多風向的一側或按與夏季風向頻率最多的兩個方向的中心線垂直或接近垂直或與廠房縱軸線成60°~90°布置。廠房的平面布置不宜采取封閉的庭院式。如布置成“L”和“Ⅲ”、“Ⅱ”形時,其開口部分應位于夏季最多風向的迎風面,各翼的縱軸應與夏季最多風向平行或呈0°~45°。
6.1.6 本條規定了建筑物設置通風屋頂及隔熱的條件。
夏熱冬冷或夏熱冬暖地區的建筑物大都采用通風屋頂進行隔熱,收到了良好效果。近年來,民用建筑設置通風屋頂的也越來越多,所需費用很少,但效果卻很顯著。某些存放油漆、橡膠、塑料制品等的倉庫,由于受太陽輻射的影響,屋頂內表面及室內溫度過高,致使所存放的上述物品變質或損壞,乃至有引起自燃和爆炸的危險,除應加強通風外,設置通風屋頂也是一種有效的隔熱措施。
夏熱冬冷或夏熟冬暖地區散熱量小于23W/m3的冷車間,夏季經圍護結構傳入的熱量占傳入車間總熱量的85%以上,其中經屋頂傳入的熱量又占絕大部分,以致造成屋頂對工作區的熱輻射。為了減少太陽輻射熱,當屋頂離地面平均高度小于或等于8m時,宜采用屋頂隔熱措施。
6.1.7 本條規定了放散熱或有害氣體的生產設備的布置原則。
本條規定了放散熱或有害氣體的生產設備的布置原則,其目的是有利于采取通風措施,改善車間的衛生條件。
1 放散毒害大的設備與放散毒害小的設備應隔開布置,既防止了交叉污染,又有利于設置局部排風系統。
2 放散熱和有害氣體的生產設備布置在廠房的天窗下或通風的下風側,就能充分利用自然通風,將有害氣體排出室外,不致污染整個車間。
3 放散熱和密度小于空氣的有害氣體的生產設備,當布置在多層廠房內時,宜集中布置在頂層,這能有效地避免由于設在下層可能造成對上層房間空氣的污染,也有利于設置排風系統。如必須布置在下層,就應采取有效措施防止污染上層空氣;放散密度大于空氣的有害氣體的生產設備,宜集中布置在下層。
6.1.8 本條規定了全面通風與局部通風的配合。
對于放散熱、蒸汽、粉塵或有害氣體的車間,為了不使生產過程中產生的有害物質在室內擴散,在工藝設備上或有害物質放散處設置自然或機械的局部排風,予以就地排除是經濟有效的措施。有時采用了局部排風仍然有部分有害物質擴散在室內、有害物質的濃度有可能超過國家標準時,則應輔以自然的或機械的全面排風或者采用自然的或機械的全面排風。例如:焊接車間有固定工作臺的手工焊接,局部排風罩能將焊接煙塵基本上抽走;如果焊接地點不固定時,則電焊煙塵難以用局部排風排除,此時應輔以或另行設置全面排風來排除煙塵。
6.1.9 本條規定了采用封閉式廠房的條件,為新增條文。
有害氣體或煙塵等污染物無組織排放,是指正常生產過程中產生的污染物沒有進入收集和排氣系統,通過廠房天窗等直接放散到室外環境。污染物無組織排放可能造成不達標排放,這時應對廠房進行封閉,設機械通風系統并采取相應處理措施使排放達到現行國家標準《大氣污染物綜合排放標準》GB 16297及相關排放標準的要求。
6.1.10 本條規定了通風方式的選擇。
自然通風對改善熱車間人員活動區的衛生條件是最經濟有效的方法。因此對同時散發熱量和有害物質的車間,在夏季,應盡量采用自然通風;在冬季,當室外空氣直接進入室內不致形成霧氣和在圍護結構內表面不致產生凝結水時,也應考慮采用自然通風。只有當自然通風達不到要求時,才考慮增設機械通風或自然與機械的聯合通風。例如:放散大量水分的車間(印染、漂洗、造紙和電解等),冬季由于進入室外空氣,車間內可能形成霧,圍護結構內表面可能產生凝結水,寒冷地區還會使室溫降低,影響生產和人員活動區的衛生條件。在這種情況下,應考慮采取將室外空氣加熱的機械送風等設施,但此時排風仍可采用自然排風。
6.1.11 本條是關于室內氣流組織的原則規定。
規定本條的目的是為了避免或減輕大量余熱、余濕或有害物質對衛生條件較好的人員活動區的影響。進風氣流首先應送入車間污染較小的區域,再進入污染較大的區域。同時應該注意送風系統不應破壞排風系統的正常工作。當送風系統補償供暖房間的機械排風時,送風可送至走廊或較清潔的鄰室、工作部位,但是送風量不應超過房間所需風量的50%,這主要是為了防止送風氣流受到一定污染而規定的。
6.1.12 本條是關于計算機模擬方法的使用,為新增條文。
隨著現代計算機模擬技術的不斷進步,針對高大廠房、多跨廠房及空間氣流復雜場合的送排風設計,可用模擬的方法對氣流組織及污染物控制效果進行模擬預測,輔助優化設計。
6.1.13 本條規定了排風系統的劃分原則,為強制條文。
1 本款規定是為了避免形成毒性更大的混合物或化合物,對人體造成危害或腐蝕設備及管道,如散發氰化物的電鍍槽與酸洗槽散發的氣體混合時生成氫氰酸,毒害更大。
2 本款規定是為了防止或減緩蒸汽在風管中凝結聚積粉塵,從而增加風管阻力甚至堵塞風管,影響通風系統的正常運行。
3 本款規定是為了避免劇毒物質通過排風管道及風口竄入其他房間,如將放散鉛蒸氣、汞蒸氣、氰化物和砷化氰等劇毒氣體的排風與其他房間的排風設為同一系統時,當系統停止運行,劇毒氣體可能通過風管竄入其他房間。
6.1.14 本條規定了全面通風量的計算。
當數種溶劑(苯及其同系物或醋酸酯類)蒸氣或數種刺激性氣體(三氧化硫及二氧化硫或氟化氫及其鹽類等)同時放散于空氣中時,全面通風換氣量應按各種氣體分別稀釋至接觸限值所需要的空氣量的總和計算。除上述有害物質的氣體及蒸氣外,其他有害物質同時放散于空氣中時,通風量應僅按需要空氣量最大的有害物質計算,無須進行疊加。
布置有局部機械排風系統的場合,在全面排風量計算時,應考慮補償局部機械排風的室外進風的排除有害物的作用,全面排風量值可以適當較小。
算例:某車間使用脫漆劑,每小時消耗量為4kg。脫漆劑成分為苯50%,醋酸乙酯30%,乙醇10%,松節油10%,求全面通風所需的空氣量。
解:各種有機溶劑的散發量為
苯:x1=4×50%=2(kg/h)=555.6(mg/s);
醋酸乙酪:x2=4×30%=1.2(kg/h)=333.3(mg/s);
乙醇:x3=4×10%=0.4(kg/h)=111.1(mg/s);
松節油:xd=4×10%=0.4(kg/h)=111.1(mg/s)。
根據衛生標準,車間空氣中上述有機溶劑蒸氣的容許濃度為:
苯yp1=40mg/m3;醋酸乙酯yp2=300mg/m3;乙醇沒有規定,不計風量;松節油yp4=300mg/m3。
送風空氣中上述四種溶劑的濃度為零,即y0=0。取安全系數K=6,分別計算得到各種溶劑蒸氣稀釋到最高允許濃度的所需風量為:

6.1.15 本條規定了換氣次數的確定。
由于我國工業企業行業眾多,其生產性質和特點差異很大,換氣次數無法在本規范中予以統一規定。國家針對不同的行業都制定了行業標準,各個行業部門也根據各自行業的特點,相繼編制了相關設計技術規定、技術措施等。各行業設計單位通過多年的實踐,在總結本行業經驗的基礎上,在其設計手冊中都列入了相關換氣次數的數據可供設計參考。
6.1.16 本條是關于廠房內部氣流組織的原則規定。
6.1.17 新風凈化措施根據室外空氣的質量以及室內環境要求而定。本條為新增條文。
6.1.18 本條規定了高層和多層工業建筑的防排煙設計。
近年來,工業廠房的直接火災及次生火災危害造成了很大危害,有必要在工業建筑供暖空調通風設計中也將消防安全提到突出位置。在現行國家標準《建筑設計防火規范》GB 50016中,對廠房的防煙和排煙已做了具體規定。
6.2 自然通風
6.2.1 本條是關于自然通風的一般規定。
有資料表明,無組織排放對環境污染的貢獻大于有組織排放,這是因為有組織排放的廢氣都經過了高效的凈化處理。
6.2.2 本條是關于放散極毒物質的廠房不得采用自然通風的規定,為強制性條文。
自然通風將引起極毒物質的擴散。現行國家標準《職業性接觸毒物危害程度分級》GB Z230將毒物危害程度分為極度危害、高度危害、中度危害、輕度危害、輕微危害5級,本條中極毒物質是指會放散于空氣中產生極度危害的物質。根據上述分級標準,我國常見的極度危害物質及行業見表1。
表1 常見極度危害物質及行業

6.2.3 本條規定了自然通風的設計計算。
放散熱量的廠房自然通風設計僅考慮熱壓作用,主要是因為熱壓比較穩定、可靠,而風壓變化較大,即使在同一天內也不穩定。有些地區在炎熱的日子里往往風速較低,所以在設計時不計入風壓,而把它作為實際使用中的安全因素。熱車間自然通風的計算方法見本規范附錄H。不同天窗,不同風向角,室外風對天窗排風能力影響各不相同。室外風不完全是有利的因素。由于有不利因素的存在,在自然通風設計時,應考慮風壓因素。在主導風向上有連續貫通開口的廠房,其自然通風除了按照規范根據熱壓作用計算外,可應用CFD模擬預測風壓的影響,避免因風壓導致有害物侵入人員活動區域。
6.2.4 本條規定了廠房朝向要求。
在高溫廠房的自然通風設計中主要考慮熱壓作用。某些地區室外通風計算溫度較高,因為室溫的限制,熱壓作用就會有所減小。為此,在確定該地區高溫廠房的朝向時,應考慮利用夏季最多風向來增加自然通風的風壓作用或對廠房形成穿堂風。因而要求廠房的迎風面與最多風向成60°~90°。非高溫廠房宜考慮其他季節的最多風向,以充分利用自然通風。
6.2.5 本條規定了自然通風進、排風口或窗扇的選擇。
為了提高自然通風的效果,應采用流量系數較大的進、排風口或窗扇,如在工程設計中常采用的性能較好的門、洞、平開窗、上懸窗、中懸窗及隔板或垂直轉動窗、板等。
供自然通風用的進、排風口或窗扇,一般隨季節的變換要進行調節。對于不便于人員開關或需要經常調節的進、排風口或窗扇,應考慮設置機械開關裝置,否則自然通風效果將不能達到設計要求。總之,設計或選用的機械開關裝置應便于維護管理并能防止銹蝕失靈,且有足夠的構件強度。
6.2.6 本條規定了進風口的位置。
夏季由于室內外形成的熱壓小,為保證足夠的進風量,消除余熱、提高通風效率,應使室外新鮮空氣直接進入人員活動區。自然進風口的位置應盡可能低。參考國內外一些相關資料,可將夏季自然通風進風口的下緣距室內地坪的上限定為1.2m。冬季為防止冷空氣吹向人員活動區,進風口下緣不宜低于4m,冷空氣經上部側窗進入,當其下降至工作地點時,已經過了一段混合加熱過程,這樣就不致使工作區過冷。如進風口下緣低于4m,則應采取防止冷風吹向人員活動區的措施。
6.2.7 本條規定了進風口與熱源的相互位置。
本條規定是從防止室外新鮮空氣流經散熱設備被加熱和污染考慮的。
6.2.8 本條規定了設置避風天窗或屋頂通風器的條件。
我國幅員遼闊,氣候復雜,相關避風天窗的設置條件,南北方應區別對待。設置避風天窗與否,取決于當地氣象條件(特別是夏季通風室外計算溫度的高低)、車間散熱量的大小、工藝和室內衛生條件要求以及建筑結構形式等因素。從所調查的部分熱車間來看,設置避風天窗和散熱量之間的關系大致為:南方炎熱地區,車間散熱量超過23W/m3;其他地區,車間散熱量超過35W/m3,用于自然排風的天窗均采用避風天窗,因此作了如條文中的相關規定。
屋頂通風器按照結構形式分為流線型屋頂通風器、薄型屋頂通風器兩種。流線型通風器適用于電力、鋼鐵、冶金、化工、造船、機械、機車等工業廠房,薄型通風器特別適用于風力較大的沿江、沿海的工業廠房。屋面通風排煙型通風器適用于煙塵量、熱量較大或有排煙要求的大跨度高大廠房。流線型屋頂通風器、薄型屋頂通風器又分為電動開啟式及常開式。屋頂通風器主要原理是利用室內外溫差所造成的熱壓及外界風力作用所造成的風壓來實現進風和排風,從而滿足生產車間內換氣要求的一種通風裝置,無運行能耗。流線型屋頂通風器通風效率高,骨架采用結構方管焊接而成,強度高;它不占用車間的生產面積,通風效果比普通天窗(或稱氣樓)提高30%,流量系數提高到0.84,無倒灌現象,最大能承受1000Pa的風載及50kg/m2的雪載荷。薄型通風器整體高度低,僅高于屋頂接口546mm,因而結構風荷載小,重量輕,建筑造價較低,采用三重防雨雪槽結構,以保證通風通道干燥,最大能承受1200Pa的風載荷及50kg/m2的雪載荷。
通風器選型計算方法:
(1)計算車間需要的總換氣量:
車間總換氣量Q=車間容積×換氣次數
(2)計算通風器的海米通風量:
通風量計算公式:
式中:G——通風量;
Up——通風器流量系數,流量系數=1/阻力系數;
Ap——通風器的有效通風面積(m2);
g——重力加速度,取9.81;
hp——中和界高度,一般為檐口高度的1/2;
rp——排風溫度下的空氣密度;
rj——進風溫度下的空氣密度;
rpw——室內空氣的平均密度,按排風溫度和進風溫度的平均值采用,即0.5×(rj+rp)。
(3)結合廠房工藝布置圖確定通風器長度及喉口寬度。
6.2.9 本條規定了可不采用避風型天窗的條件。
放散有害物質且不允許空氣倒灌的車間,如鋁電解車間,在電解過程中產生余熱、煙氣和粉塵(主要是氟化氫及瀝青揮發物)等大量有害物質,采用自然通風的目的是排除車間的余熱和有害物質。為使上升氣流不致產生倒灌而惡化人員活動區的衛生條件,也應裝設避風天窗。
我國南方有少數地區夏季室外平均風速不超過1m/s,風壓很小,經試算對比遠不致對天窗的排風形成干擾,實測調查的結果也證實了這一點,因此規定夏季室外平均風速小于或等于1m/s的地區,可不設置避風天窗。
6.2.10 本條規定了防止天窗或風帽倒灌,避風天窗或風帽各部分尺寸的要求。
規定本條的目的是為了避免風吹在較高建筑的側墻上,因風壓作用使天窗或風帽處于正壓區,引起倒灌現象。
6.2.11 本條規定了封閉天窗端部的要求及設置橫向隔板的條件。
將擋風板與天窗之間,以及作為避風天窗的多跨廠房相鄰天窗之間的端部加以封閉,并沿天窗長度方向每隔一定距離設置橫向隔板,其目的是為了保證避風天窗的排風效果,防止形成氣流倒灌。
關于橫向隔板的間距,國內各單位采取的數值不盡相同,有的采用40m~50m,有的采用50m~60m。相關單位的試驗研究結果表明,當端部擋風板上緣距地坪的高度約13m的情況下,沿天窗長度方向的氣流下降至擋風板上緣處的位置距端部約42m,相當于端部高度的3倍~3.5倍。綜合各單位的實際經驗及研究成果,作了如條文中的相關規定。為了便于清理擋風板與天窗之間的空間,規定在橫向隔板或封閉物上應設置檢查門。
擋風板下緣距離屋面留有距離是為了排水、清掃污物等。
6.2.12 本條規定了自然通風進風口與排風天窗的水平距離的要求,為新增條文。
在夏熱冬暖或夏熱冬冷地區熱加工車間,利用自然通風來沖淡工作區有害物時,車間寬度不宜超過60m。對于多跨車間的自然通風效果,可利用CFD模擬,進行預測。增加車間高度有利于自然通風。
6.2.13 本條規定了設置不帶窗扇的避風天窗的條件及要求。
有些高溫車間的天窗(特別是在南方炎熱地區)由于全年廠房內的散熱量都比較大,無須按季節調節天窗窗扇的開啟角度,宜采用不帶窗扇的避風天窗,不但能降低造價,還能減小天窗的局部阻力,提高通風效率,但在這種情況下,應采取必要的防雨及防滲漏措施。
6.3 機械通風
6.3.1 關于補風和設置機械送風系統的規定。
設置集中供暖且有排風的建筑物,設計上存在著如何考慮冬季的補風和補熱的問題。在排風量一定的情況下,為了保持室內的風量平衡,有兩種補風的方式:一是依靠建筑物圍護結構的自然滲透,二是利用送風系統人為地予以補償。無論采取哪一種方式,為了保持室內達到既定的室溫標準,都存在著補熱的問題,以實現設計工況下的熱平衡。
本條規定應考慮利用自然補風,包括利用相鄰房間的清潔空氣補風的可能性。當自然補風達不到衛生條件和生產要求或在技術經濟上不合理時,則以設置機械送風系統為宜。“不能滿足室內衛生條件”是指室內環境溫度過低或有害物濃度超標,影響操作人員的工作和健康;“生產工藝要求”是指生產工藝對滲入室內的空氣含塵量及溫度要求;“技術經濟不合理”是指為了保持熱平衡需設置大量的散熱器等不及設置機械送風系統合理。
設置集中供暖的建筑物,為負擔通風所引起的過多的耗熱量會增加室內的散熱設備。而在實際使用中通風系統停止運行時,散熱設備提供的過多的熱量會使建筑物內溫度過高。如果僅按圍護結構的負荷,不考慮新風負荷而設置散熱設備,在通風系統運行時又難以保證建筑物內的供暖溫度。因此本條規定在設置機械送風系統時,應進行風量平衡及熱平衡計算。
6.3.2 本條規定了不應采用循環空氣的限制條件,為強制性條文。
排風中仍然含有污染物質,再循環使用不當將造成污染物質的累積,房間內污染物濃度將越來越高,因此規定了在某些情況下不得使用循環風。
6.3.3 本條是關于送風方式的規定。
根據有害物質以及所采用的排風方式,本條給出了三種可供設計選擇的送風方式:
1 放散熱或同時放散熱、濕和有害氣體的廠房,當采用上部全面排風(用以消除余熱)或采用上、下部同時全面排風(用以消除余熱、余濕和有害氣體)時,將新鮮空氣送至人員活動區,以使送風氣流既不致為房間上部的高溫空氣所預熱,也不致為室內的有害物質所污染,從而有助于改善人員活動區的勞動條件。
2 放散粉塵或比空氣重的有害氣體和蒸氣,而不同時放散熱的廠房,當主要從下部區域排風時(包括局部排風和全面排風),由于室內不會形成穩定的上升氣流,將新鮮空氣送至上部區域,以便不使送風氣流短路,對保持室內人員活動區溫度場分布均勻、防止粉塵飛揚和改善勞動條件都是有好處的。
3 當有害物質的放散源附近有固定工作地點,但因條件限制不可能安裝有效的局部排風裝置時,直接向工作地點送風(包括采用系統式局部送風),以便在固定工作地點造成一個有害物濃度符合衛生標準的人工小氣候,使操作人員的勞動條件得以改善。在這種情況下,應妥善地合理地組織排風氣流,以免有害物質為送風氣流所裹攜而到處飄逸和飛揚。
6.3.4 本條規定了機械送風系統室外計算參數的選擇原則。
1 為了使室內溫度不因通風而降低,計算冬季通風耗熱量時,應采用冬季供暖室外計算溫度。
2 計算冬季消除余熱、余濕通風量時,采用冬季通風室外計算溫度,計算溫差比采用冬季供暖室外計算溫度時小,計算所得的風量大,這樣做保證率反而高。
3 設計通風系統消除余熱、余濕的區域,一般對溫、濕度允許波動范圍的要求不嚴格,因此夏季室外計算參數采用保證率相對較低的通風計算參數。一些對溫、濕度波動范圍要求不嚴格的場所,由于室內發熱量較大或夏季室外溫度較高,消除余熱要求的通風量過大,允許的送風量不能滿足要求,雖然需要進行降溫處理,但保證率可以低一些,新風冷卻量計算可采用夏季通風室外計算溫度,不采用夏季空調室外計算溫度。但對室內最高溫度限值要求較嚴格的工程,可以采用夏季空調室外計算溫度。
4 夏季消除室內余濕的通風系統,宜采用夏季通風室外計算干球溫度和夏季通風室外計算相對濕度確定室外空氣狀態點,用對應的含濕量進行通風量計算。同理,最高濕度限值要求嚴格時,則可采用空調室外設計參數確定室外空氣狀態點。
6.3.5 本條規定了機械送風系統進風口的位置。
1 為了使送入室內的空氣免受外界環境的不良影響而保持清潔,因此規定把進風口直接布置在室外空氣較清潔的地點。
2 為了防止排風(特別是放散有害物質的廠房的排風)對進風的污染,所以規定近距離內有排風口時進口應低于排風口。
3 為了防止送風系統把進風口附近的灰塵、碎屑等揚起并吸入,規定進風口下緣距室外地坪不宜小于2m,同時還規定當布置在綠化地帶時,不宜小于1m。
4 應避免進、排風口短路。當屋頂上設有天窗、屋頂通風器等排風裝置時,如同時在屋面上設進風口,進風口與屋頂排風裝置之間應保持一定的距離。
6.3.6 本條規定了設置置換通風的原則及條件。
與十年前相比,置換通風系統已被國內工業建筑設計院所采用。置換通風在汽車制造廠、軌道交通列車制造廠、造紙廠、電子設備廠、印刷廠、機械設備制造廠等工業廠房運行并取得良好的效果。置換通風設備已國產化,改變了以往從國外引進、造價昂貴的局面。
6.3.7 本條是關于置換通風的設計規定。
置換通風是將經過處理或末經處理的空氣,以低風速、低紊流度、小溫差的方式,直接送入室內人員活動區的下部。送入室內的空氣先在地板上均勻分布,隨后流向熱源(人員或設備)形成熱氣流以熱煙羽的形式向上流動,在上部空間形成滯流層,從滯留層將余熱和污染物排出室外。
在建筑空間中,人們只在活動區停留。以凈高大于或等于2.4m的民用建筑及層高為5.5m的廠房為例,人的呼吸帶高度與建筑空間高度之比約為0.46~0.27。將新鮮空氣直接送入人員活動區,既滿足了室內的衛生要求,也保證了良好的熱舒適性,最大限度地保證了通風的有效性。置換通風的豎向流型是以浮力為基礎,室內污染物在熱浮力的作用下向上流動。氣流在上升的過程中,卷吸周圍空氣,熱煙羽流量不斷增大。在熱力作用下,建筑物內空氣出現分層現象。
置換通風在穩定狀態時,室內空氣在流態上將形成上下兩個不同的區域:即上部紊流混合區和下部單向流動區,下部區域(人員活動區)內沒有循環氣流(接近置換氣流),而上部區域(滯留區)內有循環氣流。室內熱濁空氣滯留在上部區域而下部區域是涼爽的清潔空氣。兩個區域分層界面的高度取決于送風量,熱源特性及其在室內的分布情況。在設計置換通風系統時,該分層界面應控制在人員活動區以上,以確保人員活動區內空氣質量及熱舒適性。
與通常的混合通風相比,置換通風的設計要求確保人員活動區內的氣流摻混程度最小。置換通風的目的是為了在人員活動區內維持接近于送風狀態的空氣質量。同時,由于置換通風是先在地板上均勻分布,然后再向上流動,為了避免下部送風對人體產生的不舒適性,置換通風器的出風速度不大于0.5m/s。
6.3.8 本條規定了對全面排風的要求。
本條規定了設計全面排風的幾點要求。為了防止有害氣體在廠房的上部空間聚集,特別是裝有吊車時,有害氣體的聚積會影響吊車司機的健康和造成安全事故;高度小于或等于6m的車間全面排風量不宜小于1次/h換氣。當房間高度大于6m時,換氣次數允許稍有減少,仍按6m高度時的房間容積計算全面排風量,即可滿足要求。
6.3.9 本條規定了全面排風系統吸風口的布置及風量分配。
采用全面排風消除余熱、余濕或其他有害物質時,把吸風口分別布置在室內溫度最高、含濕量和有害物質濃度最大的區域,一是為了滿足本規范第6.1.11條和第6.1.12條關于合理組織室內氣流的要求,避免使含有大量余熱、余濕或有害物質的空氣流入沒有或僅有少量余熱、余濕或有害物質的區域;二是為了提高全面排風系統的效果,創造較好的勞動條件。因而考慮了有害氣體的密度和室內熱氣流的誘導作用,按上、下兩個區域設置不同的排風量。
室內有害物濃度的分布是不均勻的,影響其分布狀況的原因有兩個方面:第一,由于某種原因(如熱氣流或橫向氣流的影響等)造成含有有害物的空氣流動或環流,即對流擴散;第二,有害物分子本身的擴散運動,但在有對流的情況下其影響甚微。對流擴散對有害物的分布起著決定性的作用。只有在沒有對流的情況下,才會使一些密度較大的有害氣體沉積在房間的下部區域;并使一些比較輕的氣體,如汽油、醚等揮發物由于蒸發而冷卻周圍空氣也有下降的趨勢。在有強烈熱源的廠房內,即使密度較大的有害氣體,如氯等由于受穩定上升氣流的影響,最大濃度也會出現在房間的上部。如果不考慮具體情況,只注意有害氣體密度的大小(比空氣輕或重),有時會得出濃度分布的不正確結論。因此,參考國內外相關資料,對全面排風量的分配作了如條文中的規定,并著重強調了必須考慮是否會形成穩定上升氣流的影響問題。當有害氣體分布均勻且其濃度符合衛生標準時,從有害氣體與空氣混合后與室內空氣的相對密度的作用已不會構成分上、下區域排風的理由。
6.3.10 本條規定了排除爆炸危險性氣體時,全面排風系統吸風口的布置要求,為強制性條文。
對于由于建筑結構造成的有爆炸危險氣體排出的死角,如在生產過程中產生氫氣的車間,會出現由于頂棚內無法設置排風口而聚集一定濃度的氫氣發生爆炸的情況。在結構允許的情況下,在結構梁上設置連通管進行導流排氣,以避免事故發生。
6.3.11 本條規定了局部排風的排放要求。
規定本條的目的是為了使局部排風系統排出的劇毒物質、難聞氣體或濃度較高的爆炸危險性物質得以在大氣中擴散稀釋,以免降落到建筑物的空氣動力陰影區和正壓區內,污染周圍空氣或導致向車間內倒流。
所謂“建筑物的空氣動力陰影區”,系指室外大氣氣流撞擊在建筑物的迎風面上形成的彎曲現象及由此而導致屋頂和背風面等處由于靜壓減小而形成的負壓區;“正壓區”系指建筑物迎風面上由于氣流的撞擊作用而使靜壓高于大氣壓力的區域,一般情況下,只有當它和風向的夾角大于30°時,才會發生靜壓增大,即形成正壓區。
6.3.12 本條規定了采用燃氣加熱的供暖裝置、熱水器或爐灶時的安全要求。
為保證安全,防火防爆,在采用燃氣加熱的供暖裝置、熱水器或爐灶時,應符合現行國家標準《城鎮燃氣設計規范》GB 50028的規定。
6.4 事故通風
6.4.1 本條規定了設置事故通風系統的原則要求。
事故通風是保證安全生產和保障人民生命安全的一項必要的措施。對生產、工藝過程中可能突然放散有害氣體的建筑物,在設計中均應設置事故排風系統。有時雖然很少或沒有使用,但并不等于可以不設,應以預防為主。這對防止設備、管道大量逸出有害氣體而造成人身事故是至關重要的。
6.4.2 本條規定了事故通風設備防爆、系統形式、運行保證的要求。
放散有爆炸危險的可燃氣體、蒸氣或粉塵氣溶膠等物質時,應采用防爆通風設備,也可采用誘導式事故排風系統。誘導式排風系統可采用一般的通風機等設備,具有自然通風的單層廠房,當所放散的可燃氣體或蒸氣密度小于室內空氣密度時,宜設事故送風系統。而較輕的可燃氣體、蒸氣經天窗或排風帽排出室外。事故通風由經常使用的通風系統和事故通風系統共同保證,非常有利于提前預防。
6.4.3 本條規定了事故通風的定義及計算風量等。
從本規范2003年版執行情況反饋信息來看,對于高大廠房,大家普遍認為按整個車間12次/h換氣計算事故通風量時,事故通風系統龐大,且不一定合理。經反復討論,大家認為現行行業標準《化工供暖通風與空氣調節設計規范》HG/T 20698中確定的事故通風計算方法值得借鑒,且能滿足各行業使用的需要,因此規定廠房以6m高度為限:當房間高度小于或等于6m時,按房間實際體積計算;當房間高度大于6m時,按6m的空間體積計算。通過合理布置吸風口,可以讓事故通風系統發揮最大的作用。吸風口的布置應符合本規范第6.4.4條的規定。
6.4.5 本條是關于事故通風吸風口、排風口位置的規定。
事故通風吸風口的位置應有利于有毒、有爆炸危險氣體在擴散前排出,并避免形成通風死角。事故排風口的布置是從安全角度考慮的,為的是防止系統投入運行時排出的有毒及爆炸性氣體危及人身安全和由于氣流短路時進風空氣質量造成影響。
6.4.6 本條是關于事故通風裝置的自動控制,為新增條文。
隨著技術的進步,事故通風系統的啟動或停止不能僅依賴于人為發現、人為控制,條件具備時應當引入自動控制系統,以增加其可靠性。
6.4.7 本條規定了事故通風設備電氣開關設置的位置要求,為強制性條文。
事故排風系統(包括兼作事故排風用的基本排風系統)的通風機,其開關裝置應裝在室內外便于操作的地點,以便一旦發生緊急事故時,使其立即投入運行。事故排風系統的供電系統的可靠等級應由工藝設計確定,并應符合現行國家標準《供配電系統設計規范》GB 50052以及其他規范的要求。
6.4.8 本條規定了事故通風系統設補風系統的要求,為新增條文。
所有通風系統均應考慮風量的平衡,有排風、有進風,才能保證氣流通暢。設計中遇到過設有事故排風系統卻不具備自然進風的情況,因此特別增加本條而予以強調。
6.5 隔熱降溫
6.5.1 本條規定了采取隔熱措施的界限。
工作人員較長時間內直接受到輻射熱影響的工作地點,在多大輻射照度下設置隔熱措施一般是以人體所能接受的輻射照度及時間確定的。本條參照國外相關資料,確定了設置隔熱的輻射照度界限。
由于隔熱措施投資少、收效大,我國高溫車間普遍采用。實踐證明,只要設計人員密切結合工藝操作條件,因地制宜地進行設計,都能取得較好的效果。
高溫車間內裝有冷風機的吊車司機室、操縱室等,由于小室位于高溫、強輻射熱的環境中,為了提高降溫效果、節約電能,這些小室應采取良好的隔熱、密封措施。
6.5.2 本條規定了隔熱方式的選擇。
據調查,水幕隔熱大多數用于高溫爐的操作口處,一般系定點采用。但是水幕的采用受到工藝條件和供水條件等的約束,所以設計時要根據工藝、供水和室內風速等條件,在選擇地分別采用水幕、隔熱水箱和隔熱屏等隔熱方式。
6.5.3 本條規定了隔熱標準。
隔熱水箱和串水地板常用在高溫爐壁、軋鋼車間操縱室的外墻或底部以及鑄錠車間底板四周等處。以軋鋼車間為例,地面常用鋼板鋪成,當600℃以上的紅熱鋼件經常沿操縱室地面運輸時,鋼板地面溫度能逐漸升高到120℃~150℃,甚至更高,在這種情況下,往往利用隔熱水箱做成中水地板。其表面平均溫度不應高于40℃。
當采用隔熱水箱或串水地板時,為了防止水中懸浮物結垢,規定排水溫度不宜高于45℃。
6.5.4 本條規定了設置局部送風(空氣淋浴)的條件。
局部送風是工作地點通風降溫的一項措施,它能改變局部范圍內的空氣參數,在工作地點或局部工作區造成一個小氣候。當工作地點固定或相對固定時,在條文中所規定的情況下,設置局部送風是合適的。
設置局部送風的目的,既要保證《工業企業設計衛生標準》GBZ1對工作地點的溫度要求,又要消除輻射熱對人體的影響。人體在較長時間內受到照度較大的輻射熱作用時,會造成皮膚蓄熱,影響人體的正常生理機能。一般情況下,高溫工作地點的輻射熱和對流熱是同時存在的,但在冶金爐或煉鋼、軋鋼車間等是以輻射熱為主的,這都需要設置局部送風。
局部送風的方式分兩種,一種是單體式局部送風,借助于軸流風機或噴霧風扇,利用室內循環空氣直接向工作地點送風,適用于工作地點單一或分散的場合;另一種是系統式局部進風,用通風機將室外新鮮空氣(經處理或未經處理的)通過風管送至工作地點,適用于工作地點較多且比較集中的場合。
6.5.5、6.5.6 這兩條規定了采用單體式局部送風時工作地點的風速。
(1)采用不帶噴霧的軸流風機進行局部進風時,由于不能改變工作地點的溫、濕度參數,只能依靠保持一定的風速達到改善勞動條件的目的,因此本規范第6.5.5條根據現行國家標準《工業企業設計衛生標準》GBZ1的相關規定(可用風速范圍為2m/s~6m/s),并按作業強度的不同,把工作地點的風速分為三擋:輕作業時,2m/s~3m/s;中作業時,3m/s~5m/s;重作業時,4m/s~6m/s。
(2)采用噴霧風扇進行局部送風時,由于借助于細小霧滴能夠起到一定的隔熱作用,具有顯著的降溫效果,本規范第6.5.6條針對其適用對象,把工作地點的風速控制在3m/s~5m/s。
鑒于多年來國內相關單位研制和使用噴霧風扇的經驗,為避免對生產操作人員的健康造成不良影響。因此把使用范圍限制在工作地點溫度高于35℃(高于人體皮膚溫度),熱輻射強調大于1400W/m2,且工藝不忌細小霧滴的中、重作業的工作地點,并規定噴霧霧滴直徑不應大于100μm。
當局部送風系統的空氣需要冷卻處理時,其室外計算參數應采用夏季通風室外計算溫度及相對濕度。
6.5.7 本條規定了局部送風空氣處理計算參數的確定。
6.5.8 本條規定了設置局部送風系統的要求。
據調查,以前有些地方采用的局部送風系統,氣流大多是從背后傾斜吹到人體上部軀干的。在受輻射熱影響的工作地點,工作人員反映“前烤后寒”,效果不好,這主要是因為受熱面吹不到風的緣故。因此認為最好是從人體的前側上方傾斜吹風。醫學衛生界認為,頭部直接受輻射熱作用,會使輻射能作用于大腦皮質,產生過熱;胸背受輻射熱作用,會使肺部的大量血液受熱;頸部受輻射熱作用,會使流經大腦的血液受熱;而手足等其他部位受輻射熱作用,影響則較小。氣流自上而下或由一邊吹向人體時,人體前部和背部都能均勻地受到降溫作用。綜合上述情況,對氣流方向作了規定。
送到人體上的氣流寬度,宜使操作人員處于氣流作用的范圍內,這樣效果較好。在滿足送風速度要求的情況下,較大的氣流寬度對提高局部送風的效果有利。一般情況下,以1m作為設計寬度是合適的。但是對于某些工作地點較固定的輕作業,為減少送風量,節約投資,氣流寬度可適當減少至0.6m。
6.5.9 本條規定了特殊高溫工作小室的降溫措施。
在特殊高溫工作地點,由于氣溫高、輻射強度大,應采用空氣調節設備降溫,尤其是南方炎熱、潮濕地區。如高溫作業車間吊車司機室所在的車間較高處,吊車司機室周圍溫度可達40℃~50℃,這類場所適合采用高溫型空氣調節設備,可在50℃~70℃環境下穩定運行。為節省能量消耗,這類特殊的高溫的工作小室應采用很好的密閉和隔熱措施。
6.6 局部排風罩
6.6.1 本條規定了排風罩的設計原則,為新增條文。
設計排風罩的目的是捕集煙氣、毒氣、粉塵等有害物,是通風除塵系統設計的關鍵環節之一。排風罩首先應能有效捕集污染源散發的有害物,用較小的排風量達到最好的污染物控制效果。其次,排風罩的設置應不影響操作者的使用,避免干擾氣流對吸氣氣流的影響。
6.6.2 本條規定了密閉罩的設計,為新增條文。
密閉罩和其他形式的排風罩相比,外部干擾小,容易控制有害物的擴散,在條件允許時,宜優先采用密閉罩。密閉罩根據工藝設備及其配置的不同,可采用局部密閉罩、整體密閉罩、大容積密閉罩、固定式密閉罩和移動式密閉罩。密閉罩的設計要充分考慮不妨礙工人操作。密閉罩有條件時采用裝配結構。觀察窗、操作孔和檢修門應開關靈活,具有氣密性,遠離氣流正壓高的部位。吸風口的位置也應避免物料飛濺區及氣流正壓高的部位,同時保持罩內均勻負壓。密閉罩可整體或局部采用透明材料制作。密閉罩同時可兼有減噪和隔聲的作用。
6.6.3 本條規定了密閉罩排氣口位置的設計,為新增條文。
在密閉罩上裝設位置和開口面積適宜的吸風罩同除塵風管連接,使罩口斷面風速均勻,為防止排風把物料帶走,還應對吸風口的風速加以控制。在吸風點的排風量一定的情況下,吸風口風速主要取決于物料的密度和粒徑大小以及吸風口于揚塵點之間的距離遠近等。針對篩分工藝特點規定:對于細粉料的篩分過程,采用不大于0.6m/s;對于物料粉碎過程,采用不大于2m/s;對于粗粒徑物料的破碎過程,采用不大于3m/s,由于各行業的具體情況不同,設計人員可以根據粉塵的比重參考上述數值進行修正。
物料輸送過程密閉罩粉塵外逸的原因是物料進入罩內時的動壓及帶人的氣體壓力考慮的不足,3m/s風速對應的靜壓僅為5.4Pa,如果物料的動壓及帶人氣體產生的壓力疊加大于這個數字,粉塵就會從縫隙外逸。
6.6.4 本條規定了半密閉罩和柜式通風罩的設計,為新增條文。
半密閉罩和排風柜因有多面圍擋,外部氣流干擾小,和外部通風罩相比能取得較好地控制污染物的作用,同時便于工作者的操作,工程中使用的較多。
排風柜內部構造形式根據柜內有害氣體密度大小確定。當有害物為熱蒸氣或其密度小于空氣時,排風柜采用上排風形式;當有害物密度大于空氣時,排風柜采用下排風形式;有害物密度大小多變時,排風柜采用上、下同時排風的形式。
小型排風柜多用于化學實驗室,分為定風量型、變風量型、補風型等。小型排風柜的柜口風速見表2。
表2 小型排風柜的吸入速度
序號 | 有害物性質 | 速度(m/s) |
1 | 無毒有害物 | 0.25~0.375 |
2 | 有毒或有危險性的有害物 | 0.4~0.5 |
3 | 劇毒或有少量放散性物質 | 0.5~0.6 |
小型實驗柜操作口高度和風量可調節。目前多臺實驗柜組成的通風系統設有的實驗柜傳感器與末端風機連控,無極調節實驗柜的排風風量及末端風機風量,在保證可靠的前提下,大大提高了運行的節能性。
當柜式排風罩設置在供暖及空調房間時,為節約供暖空調能耗,可采用補風式柜式排氣罩。
大型排風柜使用在特定的工藝中。設計中需要注意的問題是因開口面積大而產生的斷面風速不均勻問題。當工藝過程為冷過程、有害物比重大于環境空氣比重時,有害氣體有可能從下部逸出。設計人員要綜合考慮工藝污染物的重力、浮力、原始動力等因素,設置合適的排風口位置。特定工藝柜式排氣罩工作孔吸入風速見相關資料。
6.6.5 本條規定了外部吸氣罩的設計,為新增條文。
外部吸氣罩主要有均流側吸罩、方形(或圓形)側吸罩、條縫形吸氣罩、冷氣流上吸式(回轉)傘形罩、下吸式(回轉)傘形罩、升降式(回轉)傘形罩等。外部罩的罩口尺寸應按吸入氣流流場特性來確定,其罩口與罩子連接管面積之比不應超過16:1,罩子的擴張角度宜小于60°,不應大于90°。當罩口的平面尺寸較大時,可分成幾個獨立小排風罩;中等大小的排風罩可在罩內設置擋板、導流板或條縫口等。傘形罩等在有條件時宜增加側擋板保證排風效果。外部排風罩的風量計算公式可查閱通風類手冊。
6.6.6 本條規定了槽邊排氣罩設計,為新增條文。
1 工業槽邊排氣罩是工件表面處理行業常用的排氣罩方式。普通槽邊排風罩為平口式和條縫式,條縫式排風罩減少了吸氣范圍,相應地減少了排風量,同樣排風量時效果比平口式好。在實際工程中,工程設計人員對平口罩進行了改進,使平口罩達到了條縫罩的效果。具體做法是:鍍槽液面適當降低,在平口罩上增加一個活頁式小蓋板,使排氣罩上蓋延伸到陽極桿上方位置,減少了吸風范圍,使同樣的風量達到更好的效果。設計人員可以根據外部通風罩的設計原理,同時參閱槽邊排氣的經驗公式進行計算和改進。
2 吹吸式排風罩氣流組織合理,控制范圍大,對于大型工業槽是比較好的處理方案。有工程實踐的做法是適當降低原有液面高度到距槽口300mm,將吹風風速控制在0.5m/s~2.0m/s范圍內,吹風口下傾5°,液面蒸發氣霧被很好地控制并排出。
3 圓形槽環形排風罩控制罩口面風速在合適的范圍內。
6.6.7 本條規定了熱接受排氣罩的設計,為新增條文。
高溫熱源的上部氣流等應因勢利導,用接受罩將污染空氣控制在排風罩內。熱源上部熱射流面積的計算見工業通風類手冊。根據安裝高度H的不同,熱源上部的接受罩可分為兩類,H≤1.5
或H≤1m的稱為低懸罩,H>1.5
或H>1m的稱為高懸罩。低懸罩排風罩口尺寸比熱源尺寸每邊擴大150mm~200mm,高懸罩應將計算所得的罩口處熱射流直徑增加0.8H作為罩口直徑。H為罩口至熱源上沿的距離,F為熱源水平投影面積。
大型熔煉爐采用導流式排煙罩或氣幕隔離罩減小熱射流面積,以減少接受罩的捕捉面積。
6.6.8 本條規定了工藝接受罩的設計,為新增條文。
金屬件在噴砂、磨光及拋光時產生大量誘導氣流,用特制接受罩將污染空氣控制在排風罩內。工程技術人員對特定工藝接收罩的設計風量已進行測試和總結出計算的經驗公式,詳見通風罩標準圖集及工業通風類手冊。
6.6.9 本條規定了排風罩的材料選擇,為新增條文。
排風罩材質除鋼板外,還可采用有色金屬、工程塑料、玻璃鋼等。振動小、溫度不高的罩體采用小于或等于2mm的薄鋼板制作;振動及沖擊大、溫度高的場合采用3mm~8mm的鋼板制作。高溫條件或爐窯旁使用的排風罩采用耐熱鋼板制作。有酸堿或其他腐蝕條件的環境,罩體材質采用耐腐蝕材料或材料表面防腐處理。在可能由靜電引起火災爆炸的環境,罩體做防靜電處理。排風罩應堅固耐用。
6.6.10 本條規定了排風柜合并設計排風系統的要求,為新增條文。
排風柜的數量較多時,經常需要多臺排風柜合并設計排風系統,尤其在試驗、化驗型建筑中。多臺排風柜合設排風系統時,應按同時使用的排風柜總風量確定系統風量,否則將造成設備選型過大、排風量過大的情況。每臺排風柜排風口宜安裝調節風量用的閥門,風機宜變頻調速。
6.6.11 本條規定了設有排風柜的房間設進風通道、供暖或空調設施的要求,為新增條文。
一個房間內設多臺排風柜時,房間的通風量相當可觀,應按房間風平衡設計進風通道,并按房間熱平衡設必要的供暖或空調設施。
6.7 風管設計
6.7.1~6.7.3 本條是關于風管尺寸、風管材料、風管壁厚的規定,為新增條文。
條文的目的是為使設計中選用的風管截面尺寸標準化,為施工、安裝和維護管理提供方便,為風管及零部件加工工廠化創造條件。據了解,在《全國通用通風管道計算表》中,圓形風管的統一規格是根據R20系列的優先數制定的,相鄰管徑之間共有固定的公比(≈1.12),在直徑100mm~1000mm范圍內只推薦20種可供選擇的規格,各種直徑間隔的疏密程度均勻合理,比以前國內常采用的圓形風管規格減少了許多;矩形風管的統一規格是根據標準長度20系列的數值確定的。把以前常用的300多種規格縮減到50種左右。經相關單位試算對比,按上述圓形和矩形風管系列進行設計,基本上能滿足系統壓力平衡計算的要求。對于要求較嚴格的除塵系統,除以R20作為基本系列外,還有輔助系列可供選用,因此是足以滿足設計要求的。
對風管材料的要求綜合在本規范第6.7.2條中。風管有金屬風管、非金屬風管、復合材料風管等多種,用何種材料制作風管首先應滿足使用條件及施工安裝條件要求,如風管的強度、耐溫、耐腐蝕、耐磨、使用壽命等應滿足使用要求。其次,其防火性能應滿足《建筑設計防火規范》GB 50016中的相關要求。需防靜電的風管應采用金屬材料制作。
第6.7.3條提出了確定風管壁厚的原則,設計者應根據具體工程需要確定風管壁厚,同時強調現行國家標準《通風與空調工程施工質量驗收規范》GB 50243中是風管最小壁厚的要求。風管壁厚還和施工方法相關。
6.7.4 本條是關于風管漏風量的規定。
原條文中提出漏風率的取值范圍,對選擇風機、空氣處理設備等有用,但對風管設計無實際意義,且提出的系統漏風率數值偏大。“一般送、排風系統”概念不明確,因此改為“非除塵系統”,與除塵系統相對應(以下同)。
風管設計中,選擇風管材料及風管制作工藝,從而控制風管漏風量是設計人員能夠且應該做到的。風管漏風率改為非除塵系統不超過5%,除塵系統不超過3%。需要指出,這樣的附加百分率適用于最長正壓管段總長度不大于50m的送風系統和最長負壓管段總長度不大于50m的排風及除塵系統。對于更大的系統,其漏風百分率適當增加。有的全面排風系統直接布置在使用房間內,則不必考慮漏風的影響。
6.7.5 本條規定了風管水力平衡計算要求。
把通風、除塵和空氣調節系統各并聯管段間的壓力損失差額控制在一定范圍內,是保障系統運行效果的重要條件之一。在設計計算時,應用調整管徑的辦法使系統各并聯管段間的壓力損失達到所要求的平衡狀態。不僅能保證各并聯支管的風量要求,而且可不裝設調節閥門,對減少漏風量和降低系統造價較為有利。特別是對除塵系統,設置調節閥害多利少,不僅會增大系統的阻力,而且會增加管內積塵,甚至有導致風管堵塞的可能。根據國內的習慣做法,本條規定非除塵系統各并聯管段的壓力損失相對差額不大于15%,除塵系統不大于10%,相當于風量相差不大于5%。這樣做既能保證通風效果,設計上也是能辦到的。如在設計時難以利用調整管徑達到平衡要求時,則可以采用設置調節閥門或增加設計流量等方法進行增加阻力計算,同時也可以考慮重新布置管道走向,改善環路的平衡特性。
6.7.6 本條規定了風管設計風速要求。
1 表6.7.6中所給出的通風系統風管內的風速是基于經濟流速和防止在風管中產生空氣動力噪聲等因素,參照國內外相關資料測定的。對于一般工業建筑的機械通風系統,因背景噪聲較大、系統本身無消聲要求,即使按表6.7.6中較大的經濟流速取值,也能達到允許噪聲標準的要求。
2 除塵系統風管設計風速應按第6.7.6條第2款的規定確定,條文中特別指出使用本規范附錄K時,應注意適用條件。
6.7.7 本條是關于風管采取補償措施的規定,為新增條文。
1 要求金屬風管設補償器,是因為輸送高溫煙氣的金屬風管,在溫度變化時會熱脹冷縮,產生很大的推力,處理不好會對建筑物或支架造成破壞,因此要求設計人員一定要通過計算,將管道對管道支架的推力控制在合理的范圍內,并選用合適的管道托座。
2 提出線膨脹系數較大的非金屬風管在一定條件下應設補償器。
6.7.8 本條規定了通風系統排除凝結水的措施,為新增條文。
排除潮濕氣體或含水蒸氣的通風系統,風管內表面有時會因其溫度低于露點溫度而產生凝結水。為了防止在系統內積水腐蝕設備及風管影響通風機的正常運行,因此條文中規定水平敷設的風管應有一定的坡度,并在風管的最低點排除凝結水。
6.7.9 本條規定了除塵系統風管設計要求,為新增條文。
1 強調了宜采用圓形鋼制風管,在同等輸送能力下,圓形鋼制風管強度大,比摩阻小。滿焊連接,以減少漏風量。
2 除塵風管直徑根據所輸送的含塵粒徑的大小作了最小直徑的補充規定,以防產生堵塞問題。
3 除塵風管以垂直或傾斜敷設為好。但考慮到客觀條件的限制,有些場合不得不水平敷設,尤其大管徑的風管傾斜敷設就比較困難。傾斜敷設時,與水平面的夾角越大越好,因此規定應大于45°。為了減少積塵的可能,本款強調了應盡量縮短小坡度或水平敷設的管段。
4 支管從主管的上面連接比較有利。但是施工安裝不方便,鑒于具體設計中支管從主管底部連接的情況也不少,所以本款規定為“宜”。對于三通管夾角,考慮到大風管常采用45°夾角的三通,除塵風管的三通夾角也可以用到45°,因此本款規定三通夾角宜采用15°~45°。
較大直徑風管三通連接時經常受到場地的限制,支管和干管的夾角不能保證小于45°,常有采用90°連接的情況,這時應采取擴口導流措施,可顯著減小局部阻力。
5 減少彎管數量、加大彎管曲率半徑、減小彎管角度可降低阻力,防止堵塞。
6 除塵風管在特定條件下應有防磨措施。
7 除塵風管設計應考慮管內積灰清除的可能性。直徑較大的水平管道可在易積灰的部位,如彎管、三通、閥門等附近設置密閉清灰人孔,直徑較小的管道可設置密閉檢查孔或管道吹掃孔。
8 除塵支管上設置風量調節裝置及風量測定孔有利于運行調節。對于吸風點較多的機械除塵系統,雖然在設計時進行了各并聯環路的壓力平衡計算,但是由于設計、施工和使用過程中的種種原因,出現壓力不平衡的情況實際上是難以避免的。為適應這種情況,保障除塵系統的各吸風點都能達到預期效果,因此條文規定在各分支管段上宜設置調節閥門。
在吸入段風管上,一般不容許采用直插板閥,因為它容易引起堵塞。作為調節用的閥門,無論是蝶閥、調節瓣或插板閥,都宜裝設在垂直管段上,如果把這類閥門裝在傾斜或水平風管上,則閥板前、后產生強烈渦流,粉塵容易沉積,妨礙閥門的開關,有時還會堵塞風管。
9 本款規定了除塵風管支、吊架跨距的確定原則。除塵風管的外徑和壁厚是根據管內氣體流速、管道剛度及粉塵磨琢性等因素綜合確定,常采用較厚的鋼板制作,因此有較大的剛度。現行的國標圖集及施工與驗收規范大部分內容是針對薄壁風管的,并不適用于除塵風管,因此本條參考相關資料給出原則性規定。
10 從生產操作的角度出發,裝有閥門、測孔、人孔、檢查孔或吹掃孔等部位現場不具備其他檢查維護條件時,宜設置平臺和梯子,便于使用。
11 本款是安全生產的要求。
6.8 設備選型與配置
6.8.2 本條是關于選擇通風設備時性能參數確定的規定。
1 在工業通風系統運行過程中,由于風管和設備的漏風會導致送風口和排風口處的風量達不到設計值,甚至會導致室內參數(其中包括溫度、相對濕度、風速和有害物濃度等)達不到設計和衛生標準的要求。為了彌補系統漏風可能產生的不利影響,選擇通風機時,應根據系統的類別(低壓、中壓或高壓系統)、風管內的工作壓力、設備布置情況以及系統特點等因素,附加系統的漏風量。由于管道積塵、過濾器積灰、除塵器積塵等因素,通風系統的阻力會有增加,因此通風機壓力也應附加。
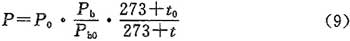
2 通常通風機性能圖表是按標定狀態下的空氣參數編制的(大部分標定狀態是指溫度20℃,大氣壓力為1.01×105Pa,相對濕度50%,密度為1.2kg/m3的標準狀態)。從流體力學原理可知,當輸送的空氣密度改變時,通風系統的通風機特性和風管特性曲線也隨之改變。對于離心式和軸流式風機,容積風量保持不變,而風壓和電動機軸功率與空氣密度成正比變化。當計算工況與風機樣本標定狀態相差較大時,風機選型應按式(8)、式(9)將風機樣本標定狀態下的數值換算成風機選型計算工況的風量和全壓,據此選擇通風機。風機配套電機應按式(10)計算出軸功率配套選型。
通風系統計算工況容積風量與標準狀態下的通風系統的容積風量關系如下:
式中:L——計算工況下的通風系統的容積風量(m3/h);
L0——標定狀態下的通風系統的容積風量(m3/h)。
通風系統計算工況壓力損失與標準狀態下的通風系統的壓力損失關系如下:
式中:P——計算工況下通風系統的實際工況壓力損失(Pa);
P0——標定狀態下的通風系統壓力損失(Pa);
Pb——當地大氣壓力(Pa);
Pb0——標定狀態的大氣壓力(Pa);
t——計算工況下風管中的空氣溫度(℃);
t0——標定狀態下風管中的空氣溫度(℃)。
電動的軸功率應按下面公式進行計算,其式如下:
式中:Nz——計算工況下電動機的軸功率(kW);
L——計算工況下通風機的風量(m3/h);
P——計算工況下系統的壓力損失(Pa);
η1——通風機的效率;
η2——通風機的傳動效率。
3 當系統的設計風量和計算阻力確定以后,選擇通風機時,應考慮的主要問題之一是通風機的效率。在滿足給定的風量和風壓要求的條件下,通風機在最高效率點工作時,其軸功率最小。在具體選用中由于通風機的規格所限,不可能在任何情況下都能保證通風機在最高效率點工作,因此條文中規定通風機的設計工況效率不應低于最高效率的90%。一般認為在最高效率的90%以上范圍內均屬于通風機的高效率區。根據我國目前通風機的生產及供應情況來看,做到這一點是不難的。通常風機在最高效率點附近運行時的噪聲最小,越遠離最高效率點,噪聲越大。
4 輸送非標準狀態空氣的通風系統,尤其是輸送介質溫度較高時,按照高溫參數選配的電動機在冷態運行時可能產生電機過載現象,因此需對通風機電機功率進行復核。
另外,需要提醒的是,通風機選擇中要避免重復多次附加造成選型偏差。
6.8.3 本條是關于通風機聯合工作的規定。
通風機的并聯與串聯安裝均屬于通風機聯合工作。采用通風機聯合工作的場合主要有兩種:一是系統的風量或阻力過大,無法選到合適的單臺通風機;二是系統的風量或阻力變化較大,選用單臺通風機無法適應系統工況的變化或運行不經濟。并聯工作的目的是在同一風壓下獲得較大的風量,串聯工作的目的是在同一風量下獲得較大的風壓。在系統阻力即通風機風壓一定的情況下,并聯后的風量等于各臺并聯通風機的風量之和。當并聯的通風機不同時運行時,系統阻力變小,每臺運行的通風機之風量比同時工作時的相應風量大;每臺運行的通風機之風壓則比同時運行的相應風壓小。通風機并聯或串聯工作時,布置是否得當是至關重要的。有時由于布置和使用不當,并聯工作不但不能增加風量,而且適得其反,會比一臺通風機的風量還小;串聯工作也會出現類似的情況,不但不能增加風壓,而且會比單臺通風機的風壓小,這是必須避免的。
由于通風機并聯或串聯工作比較復雜,尤其是對具有峰值特性的不穩定區在多臺通風機并聯工作時易受到擾動而惡化其工作性能;因此設計時必須慎重對待,否則不但達不到預期目的,還會無謂地增加能量消耗。為簡化設計和便于運行管理,條文中規定,在通風機聯合工作的情況下,應盡量選用相同型號、相同性能的通風機并聯,風量相同的通風機串聯。當通風機并聯或串聯安裝時,應根據通風機和系統的風管特性曲線,確定聯合工況下的風量和風壓。
6.8.4 本條規定了雙速或變頻調速風機的適用條件,為新增條文。
隨著工藝需求和氣候等因素的變化,建筑對通風量的要求也隨之改變。系統風量的變化會引起系統阻力更大的變化。對于運行時間較長且運行工況(風量、風壓)有較大變化的系統,為節省系統運行費用,宜考慮采用雙速或變頻調速風機。通常對于要求不高的系統,為節省投資,可采用雙速風機,但要對雙速風機的工況與系統的工況變化進行校核。對于要求較高的系統,宜采用變頻調速風機。采用變頻調速風機的系統節能性更加顯著。采用變頻調速風機的通風系統應配備合理的控制。
6.8.5 本條是關于為防毒而設置的通風機設置的規定。
本條是從保證安全的角度制訂的。用于排除有毒物質的排風設備,不應與其他系統的通風設備布置在同一通風機室內。排除不同濃度同類有毒物質的排風設備可以布置在同一通風機室內。
6.8.6 本條規定了通風設備的檢修條件和吊裝設施,為新增條文。
6.8.7 本條規定了安全措施,為新增條文。
為防止由于風機對人的意外傷害,本條對通風機轉動件的外露部分和敞口作了強制的保護性措施規定。
6.8.8 本條規定了通風設備和風管的保溫、防凍要求。
通風設備和風管的保溫、防凍具有一定的技術經濟意義,有時還是系統安全運行的必要條件。例如,某些降溫用的局部送風系統和兼作熱風供暖的送風系統,如果通風機和風管不保溫,不僅冷、熱耗量大,不經濟,而且會因冷熱損失使系統內所輸送的空氣溫度顯著升高或降低,從而達不到既定的室內參數要求。又如,苯蒸氣或鍋爐煙氣等可能被冷卻而形成凝結物堵塞或腐蝕風管。位于嚴寒地區和寒冷地區的濕式除塵器,如果不采取保溫、防凍措施,冬季就可能凍結而不能發揮應有的作用。此外,某些高溫風管如不采取保溫的辦法加以防護,也有燙傷人體的危險。
6.8.9 本條規定了對通風設備隔振的要求,為新增條文。
與通風機及其他振動設備連接的風管,其荷載應由風管的支、吊架承擔。一般情況下,風管和振動設備間應裝設撓性接頭,目的是保證其荷載不傳到通風機等設備上,使其呈非剛性連接。這樣既便于通風機等振動設備安裝隔振器,有利于風管伸縮,又可防止因振動產生固定噪聲,對通風機等的維護、檢修也有好處。
6.8.10 本條規定了離心通風機的供電要求,為新增條文。
高壓供電可以減少電能輸配損失,因此規定電機功率大于300kW的大型離心式通風機宜采用高壓供電方式。
6.8.11 本條是關于風機入口閥的規定。
風機入口閥可起到調節系統風量的作用,一般情況下宜設。有時候為了降載啟動,就需要風機入口閥,本條第1款~第3款說明了什么情況下設風機入口閥及風機入口閥的配置要求。
一般情況下,電動機的直接啟動與供電系統的電源和線路有直接的關系。電動機的啟動電流約為正常運行電流的6倍~7倍,這樣的電流波動對大型變電站影響不大,對負荷小的變電站有時會造成一定的影響。如供電變壓器的容量為180kV·A時,允許直接啟動的鼠籠型異步電動機的最大功率為40kW(啟動時允許電壓降為10%)和55kW(啟動時允許電壓降為15%)。一臺75kW的電動機,需要具有320kV·A的變壓器方可直接啟動,對于大、中型工廠來說,這當然是沒有問題的。由于我國在城市供電設計上要求較高,電壓降允許值一般為5%~6%,其他如供電線路的長短、啟動方式等均與供電設計有密切關系,因此本條規定了“供電條件允許”這樣的前提。
6.8.12 采用循環水冷卻方式是工程建設節水的需要,本條為新增條文。
6.8.13 本條規定了通風機排除凝結水的措施,為新增條文。
排除含有蒸汽的通風系統,風管內表面有時會因其溫度低于露點溫度而產生凝結水。為防止在系統內積水腐蝕設備,影響通風機的正常運行,規定在通風機的底部排除凝結水。因通風機運行時機殼內為負壓,故應設置水封排液口。
6.9 防火與防爆
6.9.1 本條規定了爆炸性氣體環境的通風要求,為新增條文。
對廠房或倉庫可能形成爆炸性氣體環境的區域應采取通風措施,一般是由工藝提出要求。通風可以促使爆炸性氣體或粉塵的濃度降低,能有效防止爆炸性氣體環境的持久存在。通風形式包括自然通風和機械通風,在有可能利用自然通風的場所,應首先采取自然通風方式,如果自然通風條件不能滿足要求時,應設置機械通風。在危險源相同的情形下,通風強度越大,通風可靠性越好,爆炸危險區越小;反之,通風強度越小,通風可靠性越差,爆炸危險區越大。
如把環境中可燃氣體或蒸氣的濃度降低到其爆炸下限值的10%以下,或把環境中可燃粉塵的濃度降低到其爆炸下限值的25%以下,可消除爆炸性危險。
6.9.2 本條規定了對采用循環空氣的限制,為強制性條文。
1 甲、乙類物質易揮發出可燃蒸氣,可燃氣體易泄漏,會形成有爆炸危險的氣體混合物,隨著時間的增長,火災危險性也越來越大。許多火災事例說明,含易燃易爆類物質的空氣再循環使用,不僅衛生上不許可,而且火災危險性增大,因此含易燃易爆類物質生產區域和倉庫應有良好的通風換氣,室內空氣應及時排至室外,不應循環使用。
2 丙類廠房內的空氣以及含有容易起火或有爆炸危險物質的粉塵、纖維的房間內的空氣,應在通風機前設過濾器,對空氣進行凈化,使空氣中的粉塵、纖維含量低于其爆炸下限的25%,不再有燃燒爆炸的危險并符合衛生條件時可循環使用,反之不能循環使用。
3 根據現行國家標準《爆炸危險環境電力裝置設計規范》GB 50058的規定,易燃氣體物質可能出現的最高濃度不超過爆炸下限值的10%時,可劃為非爆炸區域,此區域內的所有電氣設備可采用非防爆型的,也就是說,當不再有燃燒爆炸危險時,空氣可循環使用,反之不能循環使用。
4 有的建筑物火災危險性不是甲、乙類,但建筑物內有火災危險性是甲、乙類的房間,對這些房間也不能使用循環空氣。
6.9.3 本條規定了排風系統的劃分原則,為強制性條文。
1 目的是防止易燃易爆物質進入其他車間或區域,防止火災蔓延,以免造成更嚴重的后果。
2 防止不同種類和性質的有害物質混合后引起燃燒或爆炸事故。如淬火油槽與高溫鹽浴爐產生的氣體混合后有可能引起燃燒,鹽浴爐散發的硝酸鉀、硝酸鈉氣體與水蒸氣混合時有可能引起爆炸。
3 根據現行國家標準《建筑設計防火規范》GB 50016的規定,建筑中存在容易引起火災或具有爆炸危險物質的房間(如漆料庫和用甲類液體清洗零配件的房間)所設置的排風裝置應是獨立的系統,以免使其中容易引起火災或爆炸的物質通過排風管道竄入其他房間,防止火災蔓延,造成嚴重后果。
6.9.4 本條規定了火災及爆炸危險環境的通風要求,為新增條文。
對于有火災或爆炸危險的廠房或局部房間,應確保這些場所具有良好的通風。局部通風系統能及時排除有爆炸危險的物質,在降低容易起火或爆炸危險性氣體混合物濃度方面,其效果比較好,應優先采用。
6.9.5 本條規定了有爆炸危險的局部排風系統風量的確定。
規定本條是為了保證安全。通過增加設計風量,可降低風管內有爆炸危險的氣體、蒸氣和粉塵的濃度。
6.9.6 本條規定了室內保持負壓的要求。
為了防止爆炸危險物質擴散形成對周圍環境和相鄰房間的影響,室內應保持負壓,一般采用送風量小于排風量來實現。
6.9.7 本條規定了為防爆而設置的正壓送風系統的要求,為新增條文。
爆炸危險區域內安裝有非防爆型的儀表、電氣設備時,一般對這些非防爆型的儀表、電氣設備采取封閉措施,對封閉空間送風,使封閉空間保持正壓,是一種安全措施。正壓送風的目的是為了阻止有爆炸危險性的氣體或蒸氣進入封閉空間,一般采用送風量大于排風量或僅送風的方式來實現。
6.9.8 本條規定了進風口的布置及進、排風口的防火、防爆要求。
對進風口的布置作出規定是為了防止互相干擾,特別是當甲、乙類火災危險性區域的送風系統停運時,避免其他普通送風系統把甲、乙類火災危險性區域內的易燃易爆氣體吸入并送到室內。
規定進、排風口的防火防爆要求,是為了消除明火引起燃燒或爆炸危險。
6.9.9 本條是強制性條文,為新增條文。
本條是根據現行國家標準《建筑設計防火規范》GB 50016的相關條文制訂的,目的是保證安全。為防止火花引起爆炸事故,應采用不產生火花的設備。有爆炸危險粉塵的排風機、除塵器采取分區、分組布置是必要的,可以減小爆炸破壞范圍。
6.9.10、6.9.11 這兩條規定了對凈化有爆炸危險粉塵的干式除塵器的布置要求。
從國內一些用于凈化有爆炸危險粉塵的干式除塵器發生爆炸的危險情況看,這些設備如果條件允許布置在廠房之外或獨立建筑物內最好,且與所屬廠房保持一定的安全間距,對于防止爆炸發生和減少爆炸后的損失十分有利。
不應布置在車間休息室、會議室等經常有人或短時間有大量人員停留房間的下一層,主要是考慮安全。
6.9.12 本條從防爆角度出發,對濕法除塵和濕式除塵器進行了限制,為強制性條文。
有些物質遇水或水蒸氣時,將有燃燒或爆炸危險,如活潑金屬鋰、鈉、鉀以及氫化物、電石、碳化鋁等,這類物質又稱為忌水物質。有些忌水物質,如生石灰、無水氯化鋁、苛性鈉等,與水接觸時所發生的熱能將其附近可燃物質引燃著火。
遇水燃燒物質根據其性質和危險性大小可分為兩級。一級遇水燃燒物質,遇水后立即發生劇烈的化學反應,單位時間內放出大量可燃氣體和熱量,容易引起猛烈燃燒或爆炸。如鋁粉與鎂粉混合物就是這樣;二級遇水燃燒物質,遇水后反應速度比較緩慢,同時產生可燃氣體,若遇點火源即能引起燃燒,如金屬鈣、鋅及其某些化合物氫化鈣、磷化鋅等。因此規定遇水后產生可燃或有爆炸危險混合物的生產過程不得采用濕法除塵或濕式除塵器。
6.9.13 本條規定了設置泄爆裝置以及凈化有爆炸危險粉塵除塵器的設置要求,為強制性條文。
有爆炸危險的粉塵和碎屑,包括鋁粉、鎂粉、硫礦粉、煤粉、木屑、人造纖維和面粉等。由于上述物質爆炸下限較低,容易在除塵器處發生爆炸。為減輕爆炸時的破壞力,應設置泄爆裝置。泄爆面積應根據粉塵等的危險程度通過計算確定。泄爆裝置的布置應考慮防止產生次生災害的可能性。泄爆裝置可參照現行國家標準《粉塵爆炸泄壓指南》GB/T 15605。
對于處理凈化上述易爆粉塵所用的除塵器,為縮短含有爆炸危險粉塵的風管長度,減少風管內積塵,減少粉塵在風機中摩擦起火的機會,避免因把除塵器布置在系統的正壓段上引起漏風等,本條規定除塵器應設置在系統的負壓段上。
6.9.14 本條規定了對凈化有爆炸危險物質的濕式除塵器的布置要求,為新增條文。
6.9.15 本條規定了應采用防爆型設備的條件,為強制性條文。
直接布置在有爆炸危險場所中的通風設備,用于排除、輸送或處理爆炸危險性物質的通風設備以及排除、輸送或處理含有燃燒或爆炸危險的粉塵、纖維等物質,其含塵濃度高于或等于其爆炸下限的25%時,或含易燃氣體物質的濃度高于或等于其爆炸下限值的10%時,由于設備內或外的空氣中均含有燃燒或爆炸危險性物質,遇火花即可能引起燃燒或爆炸事故,為此規定該設備應采用防爆型的。
6.9.16 本條從防爆角度出發,規定了對通風設備布置的要求。
1 排除有爆炸危險物質的排風系統的設備不應布置在地下室、半地下室內,這主要是從安全出發,一旦發生事故能便于撲救。
2 因為有爆炸危險物質場所的排風系統有可能在通風機房內泄漏,如果將送風設備同排風設備布置在一起,就有可能把排風設備及風管的漏風吸入系統再次被送入生產場所中,因此規定用于甲、乙類物質場所的送、排風設備不應布置在同一通風機房內。
3 用于排除有爆炸危險物質的排風設備不應與非防爆系統的通風設備布置在同一通風機房內,因為排風機有泄漏可能。
4 規定此款的目的是:當甲、乙類廠房的送風系統停運時,有止回閥可避免甲、乙類廠房中的易燃易爆物質倒流。
6.9.17 本條規定了送、排風機房的安全要求。
爆炸危險性場所送風機房的設備由于設置有止回閥,一般采用非防爆設備,故要求送風機房通風良好,不能有爆炸危險氣體或蒸氣進入。而排風系統有可能在通風機房內泄漏,為安全起見,制訂本條規定。
6.9.19 參照現行國家標準《爆炸危險環境電力裝置設計規范》GB 50058的規定,界定“有爆炸危險”。易燃物質可能出現的最高濃度不超過爆炸下限的10%,可劃為非爆炸危險區域;根據現行國家標準《建筑設計防火規范》GB 50016,空氣中可燃粉塵的含量低于其爆炸下限的25%以下,一般認為是可以防止可燃粉塵形成局部高濃度、滿足安全要求的數值。
有爆炸危險的廠房、車間發生事故后,火災容易通過通風管道蔓延擴大到廠房的其他部分,因此其排風管道不應穿過防火墻和有爆炸危險的車間隔墻等防火分隔物以及人員密集或可燃物較多的房間,目的都是防止一旦發生事故,沿通風管道蔓延。
6.9.20 本條規定了排風管道的布置要求。
目的是為了縮小發生事故影響的范圍。
6.9.21 本條規定了排除有爆炸危險物質的排風管的材質及敷設的要求。
排除有爆炸危險物質的排風管不應暗設,目的是防止一旦風管爆炸時破壞建筑物,并為了便于檢修。
6.9.22 本條規定了排風管道的布置要求。
排除或輸送有爆炸危險物質的排風管各支管節點處不應設置調節閥,以免在間歇使用時關閉閥門處聚集有爆炸危險的氣體濃度達到爆炸濃度,一旦開機運行時引起爆炸。但有些工藝生產和試驗環境的通風系統對風量有要求,需要用閥門調節,此時的調節閥門應為防爆型。
6.0.23 本條規定了防爆通風系統對閥件的防火要求,為新增條文。
通風管道和調節閥門一般采用碳鋼制造,由于活動部件的摩擦和撞擊,易產生火花。在易燃易爆危險場所內的通風系統內、外的空氣中均含有燃燒或爆炸危險性物質,遇火花即可能引起燃燒或爆炸事故。為此規定通風系統的防火閥、活動部件、閥件等調節裝置應采取防爆措施。一般閥板采用鋁制,風機葉輪采用鋁合金。
6.9.24 本條規定了通風設備及管道的防靜電接地等要求。
當靜電積聚到一定程度時,就會產生靜電放電,即產生靜電火花,使可燃或爆炸危險物質有引起燃燒或爆炸的可能;管內沉積不易導電的物質會妨礙靜電導出接地,有在管內產生火花的可能。防止靜電引起災害的最有效辦法是防止其積聚,采用導電性能良好(電阻率小于104Ω·cm)的材料接地。因此作了如條文中的相關規定。
法蘭跨接系指風管法蘭連接時,法蘭間密封墊或法蘭螺栓墊圈常常采用橡膠材料,故兩法蘭之間須用金屬線搭接。
6.9.25 本要規定了風管敷設安全事宜。
為防止某些可燃物質同熱表面接觸引起自然起火及爆炸事故,因此規定,熱媒溫度高于110℃的供熱管道不應穿過輸送有燃燒或爆炸危險物質的風管,也不得沿其外壁敷設。有些物質自燃點較低,如二硼烷、磷化氫、二硫化碳和硝酸乙酯等,為安全起見,規定同這些物質的排風管交叉接觸時,供熱管道應采用不燃材料絕熱。
6.9.26、6.9.27 這兩條是關于排除易燃易爆危險物質的風管坡向的規定。
為防止比空氣輕的可燃氣體混合物或有爆炸危險的粉塵在風管內局部積存,使濃度增高發生事故,因此規定水平風管應順氣流方向有不同的坡度。除塵風管與水平面的夾角大于粉塵安息角時,可防止粉塵積存。如必須水平敷設時,對于含爆炸危險的粉塵的風管,需用水沖洗清除積灰時,也應有一定的坡度。
6.9.28 本條規定了爆炸危險物質場所防爆通風的安全措施。
因為要在爆炸危險物質場所產生爆炸,必須同時具備兩個條件:一是爆炸危險物質的濃度在爆炸極限以內,二是存在足以點燃爆炸危險物質的火花、電弧或高溫。通過采取通風措施可以降低爆炸危險物質的濃度。
6.9.29 本條規定了風管安全距離的要求。
為防止外表面溫度超過80℃的風管,由于輻射熱及對流熱的作用導致輸送有燃燒或爆炸危險物質的風管及管道表面溫度升高而發生事故,規定兩者的外表面之間應保持一定的安全距離,或設置不燃材料隔熱層;互為上下布置時,表面溫度較高者應布置在上面。
6.9.30 本條是關于危險管道不得穿越風管和風機房的規定,為強制性條文。
可燃氣體(天然氣等)、可燃液體(甲、乙、丙類液體)和電纜等由于某種原因常引起火災事故,為防止火勢通過風管蔓延,因此規定:這類管線不得穿過風管的內腔,可燃氣體或可燃液體管道不應穿過與其無關的通風機房。
6.9.31 本條規定了電加熱器的安全要求。
規定本條是為了減少發生火災的因素。防止或減緩火災通過風管蔓延。
凈化熱線:
15000180527
郵箱:
15000546345@163.com
地址:
上海沈磚公路5666號臨港科技城
免費量房
獲取案例
免費報價
聯 系 人:張先生
聯系方式:15000180527
聯系郵箱:15000546345@163.com
公司地址:上海沈磚公路5666號臨港科技城
主要為浦東、閔行、松江、奉賢、金山、青浦、嘉興、嘉善、蘇州、無錫、南通等上海周邊地區客戶提供辦公室凈化、辦公樓凈化設計、廠房凈化設計及工廠鋼結構搭建,無塵凈化車間裝飾凈化服務。