量身定制
拒絕模板 定制風格

量身定制
拒絕模板 定制風格

軟裝搭配
細節搭配決定細節

“0增項”
您不增項 絕不加價

環保承諾
材料E0 環保檢測

一站式省心
消防空調軟轉全搞定
E.1 風量和風速的檢測
E.1.1 風量風速檢測必須首先進行,凈化空調各項效果必須是在設計的風量風速條件下獲得。
E.1.2 風量檢測前必須檢查風機運行是否正常,系統中各部件安裝是否正確,有無障礙,所有閥門應固定在一定的開啟位置上,且必須實際測量被測風口、風管尺寸。
E.1.3 測定室內微風速儀器的最小刻度或讀數不應大于0.02m/s,一般可用熱球式風速儀,需要測出分速度時,應采用超聲波三維風速計。
E.1.4 對于單向流潔凈室,可采用室截面平均風速和截面積乘積的方法確定送風量,垂直單向流潔凈室的測定截面取距地面0.8m的無阻隔面(孔板、格柵除外)的水平截面,如有阻隔面,該測定截面應抬高至阻隔面之上0.25m;水平單向流潔凈室取距送風面0.5m的垂直于地面的截面,截面上測點間距不應大于1m,一般取0.3m。測點數應不少于20個,均勻布置。
E.1.5 對于非單向流潔凈室,內安裝過濾器的風口可采用套管法、風量罩法或風管法測定風量,為測定回風口或新風口風量,也可用風口法。
E.1.6 用任何方法測定任何潔凈室風口風量(風速)時,風口上的任何配件、飾物一律保持原樣。
E.1.7 選用套管法時,可用輕質板材或膜材做成與風口內截面相同或相近、長度大于2倍風口邊長的直管段作為輔助風管,連接于過濾器風口外部,在套管出口平面上,均勻劃分小方格,方格邊長不大于200mm,在方格中心設測點。對于小風口,最少測點數不少于6點。也可采用錐形套管,上口與風口內截面相同或相近,下口面積不小于上口面積的一半,長度宜大于1.5倍風口邊長,側壁與垂直面的傾斜角不宜大于7.5°,以測定截面平均風速,乘以測定截面凈面積算出風量(圖E.1.7)。

E.1.8 選用帶流量計的風量罩法時,可直接得出風量。風量罩面積應接近風口面積。測定時應將風量罩口完全罩住過濾器或出風口,風量罩面積應與風口面積對中。風量罩邊與接觸面應嚴密無泄漏。
E.1.9 對于風口上風側有較長的支管段且已經或可以打孔時,可用風管法通過畢托管測出動壓,換算成風量。測定斷面距局部阻力部件距離,在局部阻力部件后者,距離局部阻力不少于5倍管徑或5倍大邊長度。在局部阻力部件前者,距離局部阻力不小于3倍管徑或3倍大邊長度。
E.1.10 對于矩形風管,測定截面應按奇數分成縱、橫列,再在每一列上分成若干個相等的小截面,每個小截面宜接近正方形,邊長最好不大于200mm,測點設于小截面中心。小管道截面上的測點數不宜少于6個。
對于圓形風管,應按等面積圓環法劃分測定截面和確定測點數。
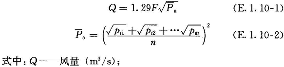
可在風管外壁針對劃分的每行方格中心上開孔,便于插入熱球風速儀測桿或畢托管。用畢托管時應先測定動壓,然后由下式確定風量:


E.1.11 測新風量、回風量等負壓風量時,如受環境條件限制,無法采用套管或風量罩,也不能在風管上檢測時,則可用風口法。風口上有網、孔板、百葉等配件時,測定面應距其約50mm,測定面積按風門面積計算,測點數同E.1.7條的規定。對于百葉風口,也可在每兩條百葉中間選不少于3點,并使測點正對葉片間的斜向氣流。測定面積應按百葉風口通過氣流的凈面積計算。
E.2 靜壓差的檢測
E.2.1 靜壓差的測定應在所有房間的門關閉時進行,有排風時,應在最大排風量條件下進行,并宜從平面上最里面的房間依次向外測定相鄰相通房間的壓差,直至測出潔凈區與非潔凈區、室外環境(或向室外開口的房間)之間的壓差。
E.2.2 對于潔凈度5級或優于5級的單向流潔凈室,還應測定在門開啟狀態下,離門口0.6m處的室內側工作面高度的粒子數。
E.2.3 有不可關閉的開口與鄰室相通的潔凈室,還應測定開口處的流速和流向。
E.3 單向流潔凈室截面風速不均勻度的檢測
E.3.1 測定截面、測點數和測定儀器應符合E.1.3條和E.1.4條的規定。測定截面也可按規定高度確定。
E.3.2 測定風速宜用測定架固定風速儀,不得不手持風速儀測定時,手臂應伸直至最長位置,使人體遠離測頭。
E.4 微粒計數濃度的檢測
E.4.1 室內檢測人員應控制在最低數量,不宜超過2人,面積超過100m2又需快速完成測定任務時,可適當增加人數。人員必須穿潔凈服,應位于測點下風側并遠離測點,動作要輕,保持靜止。
E.4.2 0.1μm至5μm微粒的檢測應符合以下要求:
1 當采用光學粒子計數器(OPC)測定0.1μm至5m的微粒計數濃度時,應按本規范第16.4.5條第1款給出的公式計算空氣潔凈度級別。粒子計數器粒徑分辨率應小于等于10%,粒徑設定值的濃度允許誤差應為±20%,并應按所測粒徑進行標定,符合現行國家標準《塵埃粒子計數器性能試驗方法》GB/T6167的規定。
2 測點數可按式(E.4.2—1)求出:

3 每一受控環境的采樣點不宜少于3點。對于潔凈度5級及優于5級以上的潔凈室,應適當增加采樣點,并得到用戶(建設方)同意并記錄在案。
4 采樣點應均勻分布于潔凈室或潔凈區的整個面積內,并位于工作區高度(取距地0.8m,或根據工藝協商確定),當工作區分布于不同高度時,可以有1個以上測定面。
亂流潔凈室(區)內采樣點不得布置在送風口正下方。
5 如建設方要求增加采樣點,應對其數目和位置協商確定。
6 每一測點上每次的采樣必須滿足最小采樣量。最小采樣量根據“非零檢測原則”由下式求出:


7 每點采樣次數應滿足可連續記錄下3次穩定的相近數值,3次平均值代表該點數值。
8 當懷疑現場計算出的檢測結果可能超標時,可增加測點數。
9 測單向流時,采樣頭應對準氣流;測非單向流時,采樣頭一律向上。
10 當要求0.1μm~5μm微粒在采樣管中的擴散沉積損失和沉降、碰撞沉積損失小于采樣濃度的5%時,水平采樣管長度也應符合附錄D.3.6條的規定。
11 若采樣口流速與室內氣流速度不相等,其比例應在0.3:1~7:1之間。
12 當因測定差錯或微粒濃度異常低下(空氣極為潔凈)造成單個非隨機的異常值,并影響計算結果時,允許將該異常值刪除,但在原始記錄中應注明。
每一測定空間只許刪除一次測定值,并且保留的測定值不少于3個。
13 對于需要很大采樣量、耗時很大的某粒徑微粒的檢測,可采用順序采樣法,即將每次測定結果標注于圖E.4.2上,當標注點落入不合格區時,即停止檢測,結果為不達標;當標注點落入合格區時,停止檢測,結果為達標;當標注點一直在繼續區中延伸,而總采樣量已達到表E.4.2—2的最小采樣量,累計微粒數仍小于20,即停止檢測,結果為達標;當標注點一直在繼續區中延伸,而總采樣量未達到最小采樣量,但累計微粒數已超過20,即停止檢測,結果為不達標。

E.4.3 對小于0.1μm的超微粒的檢測,應采用適合這類微粒具體特性的采樣裝置組合使用。可采用凝結核計數器(CNC或CPC)加靜電式分級器(遷移率分析儀) (DMA)、凝結核計數器(CNC或CPC)加擴散式分級器(DB)等,但必須有明確的性能說明書,或有自檢報告,對所測超微粒的最低粒徑的計數效率應達到50%,采樣點數目應與E.4.2條對0.1μm~5μm的要求相同。
E.4.4 大于5μm的大(宏)微粒的檢測應符合下列要求:
1 用光學粒子計數器檢測時應遵守下列規定:
1)粒子計數器應經過大微粒的標定,符合現行國家標準《塵埃粒子計數器性能試驗方法》GB/T 6167的規定,對潔凈室為6級或優于6級的潔凈室的測定,應采用不小于28.3L/min的計數器,對其他級別潔凈室的潔凈度應采用不小于2.83L/min的計數器;
2)當用28.3L/min計數器時,水平管不應長過0.5m,當用2.83L/min計數器時,原則上不宜有水平管;
3)采樣口面積應按等速采樣原則確定,室內風速取平均風速。
2 用過濾器采集、顯微鏡檢測時,應遵守下列規定:
1)過濾器為孔徑應小于等于2μm的濾膜。當過濾器采樣口直徑為25mm時,真空泵采樣流量不小于7L/min,
當過濾器采樣口直徑為47mm時,采樣流量不小于28.3L/min。對于非單向流潔凈室,總采樣量不小于28.3L/min,對于單向流潔凈室,總采放量不小于280L/min。
取下濾膜,將濾膜放在清潔的蓋玻片上(圖E.4.4),采樣面向上,放進有50℃左右丙酮蒸汽的燒杯內熏蒸。對容積為600mL的燒杯,大約加入15mL丙酮,當做過3次樣片時,再加入15mL丙酮,待濾膜透明后取出,再將蓋玻片反向固定在載物片上(用鋁箔圈或紙圈將蓋玻片與載物片隔開),熏后在蓋玻片四周用膜或蠟封住。

2)計數時應把制好的標本片固定在顯微鏡(100倍)工作臺的適合位置上,一張標本片上計數總面積不小于0.02×4mm2,在檢測中應不斷調整。
3)測定之前,必須先測出使用的同一批濾膜的基數密度,最后的計數濃度由下式得出:

E.5 溫濕度的檢測
E.5.1 無恒溫恒濕要求的溫濕度檢測應符合下列要求:
1 室內空氣溫度和相對濕度測定之前,空調凈化系統應已連續運行至少8h。
2 溫度的檢測可采用玻璃溫度計、數字式溫濕度計;濕度的檢測可采用通風式干濕球溫度計、數字式溫濕度計、電容式濕度檢測儀或露點傳感器等。根據溫濕度的波動范圍,應選擇足夠精度的測試儀表。溫度檢測儀表的最小刻度不宜高于0.4℃,濕度檢測儀表的最小刻度不宜高于2%。
測點為房間中間一點,應在溫濕度讀數穩定后記錄。測完室內溫濕度后,還應同時測出室外溫濕度。
E.5.2 有恒溫恒濕要求房間的溫濕度檢測應符合下列要求:
1 選擇以下檢測儀器:
1)溫度計:采用鉑電阻、熱電偶或其他類似溫度傳感器組成測溫系統;
2)濕度計:可采用干濕球溫度計或其他固態濕度傳感器組成測濕系統。
2 檢測方法與步驟如下:
1)室內空氣溫度和相對濕度測定之前,空調系統應已連續運行至少12h;
2)根據溫度和相對濕度波動范圍(表E.5.2),應選擇相應的具有足夠精度的儀表進行測定。根據由低到高的精度,測定宜連續進行(8~48)h,每次測定間隔不應大于30min;
3)室內測點可在送回風口處或在恒溫恒濕工作區具有代表性的地點布置。測點一般應布置在距外墻表面大于0.5m、距地0.8m的同一高度上;也可以根據恒溫恒濕區的大小,分別布置在離地不同高度的幾個平面上。
具體測點數應符合表E.5.2的規定。

區域溫差、區域相對濕度差:按測點中最低或最高的一次測定值與各測點平均溫度和平均相對濕度的差值的測點數,占測點總數的百分比,整理成累計統計曲線(圖E.5.2—2)。

E.6 噪聲的檢測
E.6.1 一般情況下可只檢測A聲級的噪聲,必要時可采用帶倍頻程分析儀的聲級儀,按中心頻率63、125、250、500、1000、2000、4000、8000Hz的倍頻程檢測,測點附近lm內不應有反射物。聲級計的最小刻度不宜低于0.2dB(A)。
E.6.2 測點距地面高1.1m。面積在15m2以下的潔凈室,可只測室中心1點,15m2以上的潔凈室除中心1點外,應再測對角4點,距側墻各1m,測點朝向各角。
E.6.3 當為混合流潔凈室時,應分別測定單向流區域、非單向流區域的噪聲。
E.6.4 有條件時,宜測定空調凈化系統停止運行后的本底噪聲,室內噪聲與本底噪聲相差小于10dB(A)時,應對測點值進行修正:相差(6~9)dB(A)時減1db(A),相差(4~5)dB(A)時減2dB(A),相差3dB(A)時減3dB,相差小于3dB(A)時測定值無效。
E.7 照度的檢測
E.7.1 室內照度的檢測應為測定除局部照明之外的一般照明的照度。
E.7.2 室內照度的檢測可采用便攜式照度計,照度計的最小刻度不應大于2lx。
E.7.3 室內照度必須在室溫趨于穩定之后進行,并且熒光燈已有100h以上的使用期,檢測前已點燃15min以上,白熾燈已有10h以上的使用期,檢測前已點燃5min以上。
E.7.4 測點距地面高0.8m,按1m~2m間距布點,30m2以內的房間測點距墻面0.5m,超過30m2的房間,測點離墻1m。
E.8 懸浮微生物的檢測
E.8.1 懸浮微生物的采樣裝置有以下兩類:
1 采用無源采樣裝置,如培養皿。
2 采用有源采樣裝置,如撞擊采樣器、離心采樣器、過濾采樣器。
E.8.2 空氣潔凈環境中懸浮微生物的靜態或空態檢測前,應對各類表面進行擦拭消毒,但不得對室內空氣進行熏蒸、噴灑之類的消毒。動態檢測均不得對表面和空氣進行消毒。
E.8.3 沉降菌檢測應符合下列要求:
1 使用直徑90mm(Φ90)的培養皿采樣。當采用其他直徑培養皿時,應使其總面積和Φ90皿總面積相當。
2 培養皿中灌注胰蛋白酶大豆瓊脂培養基,必須留樣作陰性對照。
3 培養皿表面應經適當消毒清潔處理后,布置在有代表性的地點和氣流擾動極小的地點。在亂流潔凈室內培養皿不應布置在送風口正下方。
4 當用戶沒有特定要求時,培養皿應布置在地面及其以上0.8m之內的任意高度。
5 每一間潔凈室或每一個控制區應設1個陰性對照皿。
6 動態監測時也可協商布點位置和高度。
7 培養皿數應不少于微粒計數濃度的測點數,如工藝無特殊要求應大于等于表E.8.3中的最少培養皿數,另外各加1個對照皿。

8 當延長沉降時間時,可按比例減少最少培養皿數,為防止脫水,最長沉降時間不宜超過1h,當所需沉降時間超過1h,可重疊多皿連續采樣。除非經過驗證,證明更長的沉降時間可以基本按比例增加菌落數。
9 培養皿應從內向外布置,從外向內收皿。
10 每布置完1個皿,皿蓋只允許斜放在皿邊上,對照皿蓋挪開即蓋上。
11 布皿前和收皿后,均應用雙層包裝保護培養皿,以防污染。
12 收皿后皿應倒置擺放,并應及時放入培養箱培養,在培養箱外時間不宜超過2h。如無專業標準規定,對于檢測細菌總數,培養溫度采用(35~37)℃,培養時間為(24~48)h;對于檢測真菌,培養溫度(27~29)℃,培養時間3d。
13 布皿和收皿的檢測人員必須穿無菌服,但不得穿大褂。頭、手均不得裸露,褲管應塞在襪套內,并不得穿拖鞋。
14 對培養后的皿上菌落計數時,應采用5~10倍放大鏡查看,若有2個或更多的菌落重疊,可分辨時則以2個或多個菌落計數。
15 當單皿菌落數太大受到質疑時,可按以下原則之一進行處理:
1)作為壞點剔除;
2)重測,如結果仍大,以兩次平均值為準;如結果很小,可再重測;
3)重測該處微粒濃度,參考此結果作出判斷。
所有上述處理方法均應記錄在案。
16 每皿平均菌落數取到小數點后1位。
17 動態監測時每點疊放多個平皿或采用可自動切換的儀器,每點應采滿4h以上,每皿可采30min。當只放1個皿時,可少于4h,但不可少于1h。
E.8.4 浮游菌采樣應符合下列要求:
1 使用單級或多級撞擊式采樣器、離心采樣器或過濾采樣器,采樣必須按所用儀器說明書的步驟進行,特別要注意檢測之前對儀器消毒火菌,并對培養皿或培養基條做陰性對照。
2 采樣點數應不少于微粒計數濃度測點數。
3 采樣點應在離地0.8m高平面上均勻布置,或經委托方(用戶)與檢測方協商確定。亂流潔凈室內不得在送風口正下方布點。靜態或空態檢測前對室內各種表面應作擦拭消毒。
4 每點采樣1次,如工藝無特殊要求,每次采樣量應大于等于表E.8.4推薦的浮游菌最小采樣量。

每次采樣時間不宜超過15min,不應超過30min。
當潔凈度很高,或預期含菌濃度可能很低時,采樣量應大于最小采樣量很多,以滿足減少計數誤差的要求。
5 采樣器應用支架固定,采樣時檢測人員應退出,手持離心式采樣器除外。檢測人員的穿戴同本附錄E.8.3條第15款。必須手持采樣器時,應將手臂伸直,站于下風向。
6 采樣后宜在2h之內將采樣器中的培養皿或培養基條送入培養箱中培養。
7 每點平均值取到小數點后1位。
8 動態監測的測點位置、數量和高度由工藝并經協商確定。每間潔凈室或每一個獨立受控環境中各點總采樣量,不分級別,均應大于1m3。每點可用多臺采樣器。
9 單點菌落數太大時,應按附錄E.8.3條第15款的原則處理。
E.8.5 表面染菌密度檢測應符合下列要求:
1 對于潔凈室內圍護結構、設備等表面的微生物采樣,應采用無菌棉拭子擦抹法,當表面很大,硬且平時,也可采用接觸皿法。
2 用規格板標定出面積為25cm2的區塊,對于圍護結構,每面結構不少于4塊,對于設備,每件不少于2塊,取樣地點均協商確定。
3 將無菌棉拭于含10mL稀釋液試管中浸濕,于管壁上擠干后,對一區塊擦抹采樣,橫豎往返8次。每一區塊使用1根無菌棉拭。采樣后,以無菌操作方式將棉拭采樣端剪入原稀釋液試管中,經電動混勻器震蕩20s或在手掌振打200次。
4 取含菌液體1.0mL,以瓊脂灌注法接種平皿,每個樣本接種2個平皿,于(35~37)℃培養箱中培養(24~48)h后計數。
5 必須將本次檢測所用的稀釋液、棉拭子、培養基等留樣作陰性比照。
6 具體事項遵照衛生部《消毒技術規范》執行。
7 對于適用接觸皿采樣的表面,以無菌操作方式,先將培養基注入硬質或軟質Φ55平皿,使培養基表面高出培養皿周邊,測試時,將培養皿倒過來,使培養基表面均勻牢固地按壓住整個區域5s,不得有環形或線性的運動。
8 對于圍護結構,每面結構應用不少于4個培養皿按壓,對于設備,每件用不少于2個培養皿按壓。
9 按壓取樣后的培養皿,應在2h之內,于(35~37)℃培養箱中培養(24~48)h后計數。
10 菌數平均數取到小數點后1位。
E.9 表面導靜電性能的檢測
R.9.1 地面、墻面和工作臺面等表面導靜電性能的檢測環境溫度應在15℃~35℃之間,相對濕度在45%~70%。
E.9.2 地面、墻面和工作臺面等表面導靜電性能應采用符合精度要求的高阻計檢測。
E.9.3 在表面上人活動區域選定的一組2點間或幾組2點間檢測,可選用圖E.9.3的測試裝置。

E.10 微振的檢測
E.10.1 應用能滿足檢測精度要求的振動分析計測定。
E.10.2 測點應選在室中心地面和認為有必要測定振動的位置的地面上,以及各壁板表面的中心處。
E.10.3 應分別測出室內全部凈化空調設備正常運轉和停止運轉兩種情況下縱軸、橫軸和垂直軸三個方向的振幅值。
E.11 自凈時間的檢測
E.11.1 自凈時間的測定應在潔凈室通過與室外相通,并停止運行24h以上,室內含塵濃度已接近大氣塵濃度70%以上時進行。若要求快速測定,可當時發煙。
E.11.2 若以大氣塵濃度為基準,則符合E.11.1的條件后,應先測出潔凈室內濃度,立即開機運行,定時讀數直到濃度穩定達到最低限度為止,這一段時間為自凈時間。若以人工塵為基準,則應將發煙器放在離地面1.8m以上的室中心點發煙1min~2min即停止,待1min后,在工作區平面的中心點測定含塵濃度,然后開機。
E.11.3 由測得的開機前原始濃度或發煙停止后1min的污染濃度(N0)、室內達到穩定時的濃度(N)和實際換氣次數(n)查圖E.11.3,得到計算自凈時間,再和實測自凈時間進行對比。

E.12 氣流的檢測
E.12.1 氣流流型的檢測應按以下步驟進行:
1 布置測點:
1)垂直單向流潔凈室選擇縱、橫剖面各一個,以及距地面高度0.8m、1.5m的水平面各一個;水平單向流潔凈室選擇縱剖面和工作區高度水平面各一個,以及距送、回風墻面0.5m和房間中心處等3個橫剖面,所有面上的測點間距均為0.2m~1m;
2)亂流潔凈室選擇通過代表性送風口中心的縱、橫剖面和工作區高度的水平面各1個,剖面上的測點間距為0.2m~0.5m,水平面上測點間距為0.5m~1m。兩個風口之間的中線上應有測點。
2 測定方法:用發煙器或懸掛單雛線的方法逐點觀察和記錄氣流流向,并可用量角器量出角度,發煙源可用超聲波霧化(0.5μm~50μm水霧)的去離子(DI)水、噴射方法生成的乙醇或正二醇、固態二氧化碳(干冰)等,在高強度光源下示蹤。在確保對人和物無損害時可以四氯化鈦(TiCl4)作示蹤粒子。
E.12.2 氣流流向的檢測方法如下:
1 當要檢測一個區域的定向流流向時,應在該區域頭尾之間,分段立桿,桿上不同高度掛有單絲線,或者發煙,按照測定氣流流型同樣的方法,觀測定向流流向并記錄。也可分段接力發煙,目測繪制或攝影、攝像。
2 當要測一個潔凈室的定向流流向時,應在該室門口至排(回)風口之間設立測桿,方法同上。
E.12.3 流線平行性應按以下方法檢測:
1 用單絲線觀測送風平面的氣流流向,每臺過濾器對應一個觀察點。
2 用量角器測定氣流流向偏離規定方向的角度,避免人的干擾。
E.13 甲醛濃度檢測
E.13.1 室內甲醛濃度應按現行國家標準《公共場所空氣中甲醛測定方法》GB/T18204.26的規定檢測、計算。
E.13.2 應按下式將PPM換算成mg/m3:
E.14 氨濃度檢測
E.14.1 室內氨濃度應按現行國家標準《公共場所空氣中氨測定方法》GB/T18204.25的規定檢測、計算。
E.14.2 應按下式將PPM換算成mg/m3:
E.15 臭氧濃度檢測
E.15.1 室內臭氧濃度應按現行國家標準《公共場所空氣中臭氧測定方法》GB/T18204.27的規定檢測、計算。
E.15.2 應按下式將PPM換算成mg/m3:
E.16 二氧化碳濃度檢測
E.16.1 室內二氧化碳濃度應按現行國家標準《公共場所空氣中二氧化碳測定方法》GB/T18204.24的規定檢測、計算。
E.16.2 應按下式將PPM換算成mg/m3:
凈化熱線:
15000180527
郵箱:
15000546345@163.com
地址:
上海沈磚公路5666號臨港科技城
免費量房
獲取案例
免費報價
聯 系 人:張先生
聯系方式:15000180527
聯系郵箱:15000546345@163.com
公司地址:上海沈磚公路5666號臨港科技城
主要為浦東、閔行、松江、奉賢、金山、青浦、嘉興、嘉善、蘇州、無錫、南通等上海周邊地區客戶提供辦公室凈化、辦公樓凈化設計、廠房凈化設計及工廠鋼結構搭建,無塵凈化車間裝飾凈化服務。